Free Access

Fig. 8

image

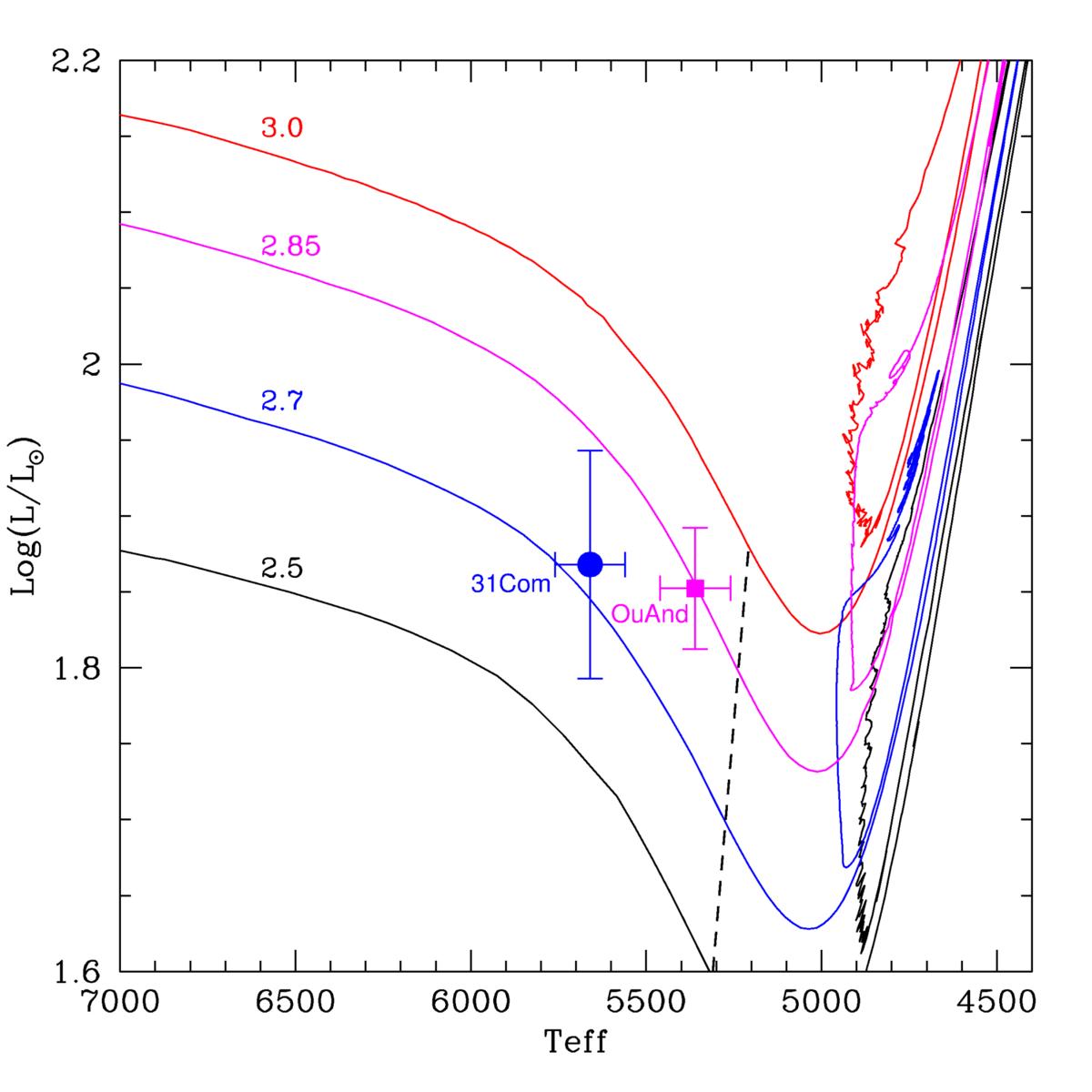
Position of 31 Comae and OU And (circle and square, respectively) on the Hertzsprung-Russell diagram (HRD) diagram. Solar metallicity tracks of evolution models with different masses (indicated on the plot, in solar mass) are shown. The dashed black line delimits the beginning of the first dredge-up phase and corresponds with the evolution points when the mass of the convective envelope of the models encompasses 2.5% of the total stellar mass. The loops on the evolutionary tracks in the right part of the HRD (effective temperature below ~5000 K) correspond to the central helium-burning phase.

Current usage metrics show cumulative count of Article Views (full-text article views including HTML views, PDF and ePub downloads, according to the available data) and Abstracts Views on Vision4Press platform.

Data correspond to usage on the plateform after 2015. The current usage metrics is available 48-96 hours after online publication and is updated daily on week days.

Initial download of the metrics may take a while.