Free Access

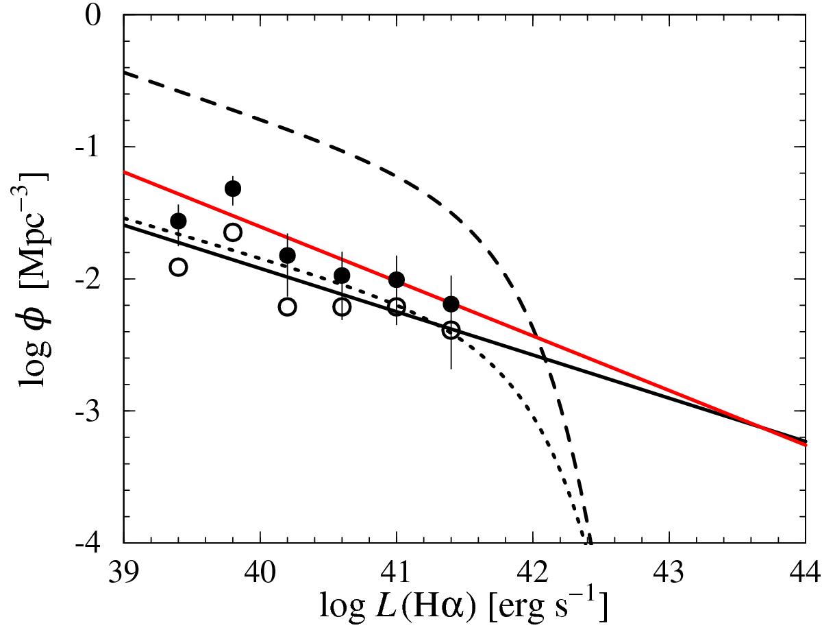
Fig. 9

image

Observed Hα luminosity function at z ~ 0.62. We represent the LF corrected for incompleteness in black filled circles with the best linear fit as a red solid line. The open symbols indicate the LF values before applying this correction with the best linear fit as a black solid line. We also include as a reference the LF at z ~ 0 from Gallego et al. (1995) (black dotted line) and the observed LF at z ~ 0.84 from Villar et al. (2008) (black dashed line).

Current usage metrics show cumulative count of Article Views (full-text article views including HTML views, PDF and ePub downloads, according to the available data) and Abstracts Views on Vision4Press platform.

Data correspond to usage on the plateform after 2015. The current usage metrics is available 48-96 hours after online publication and is updated daily on week days.

Initial download of the metrics may take a while.