Free Access

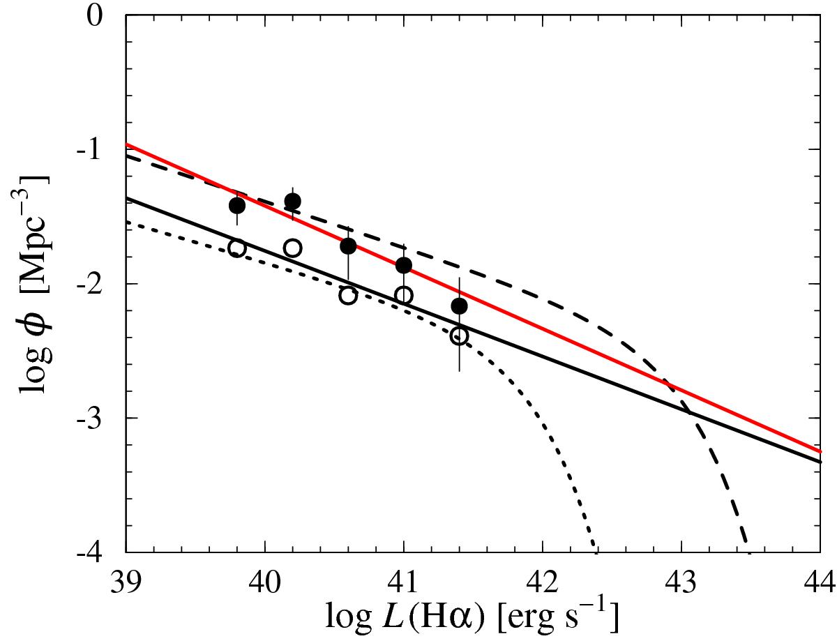
Fig. 10

image

Extinction-corrected Hα luminosity function at z ~ 0.62. The LF corrected for incompleteness is shown as black filled circles along with the best linear fit as a red solid line. The LF values before applying the incompleteness correction are included as open symbols with the best linear fit as a black solid line. For comparison the LF at z ~ 0 from Gallego et al. (1995; black dotted line) and the extinction-corrected LF at z ~ 0.84 from Villar et al. (2008; black dashed line) are also shown.

Current usage metrics show cumulative count of Article Views (full-text article views including HTML views, PDF and ePub downloads, according to the available data) and Abstracts Views on Vision4Press platform.

Data correspond to usage on the plateform after 2015. The current usage metrics is available 48-96 hours after online publication and is updated daily on week days.

Initial download of the metrics may take a while.