Free Access

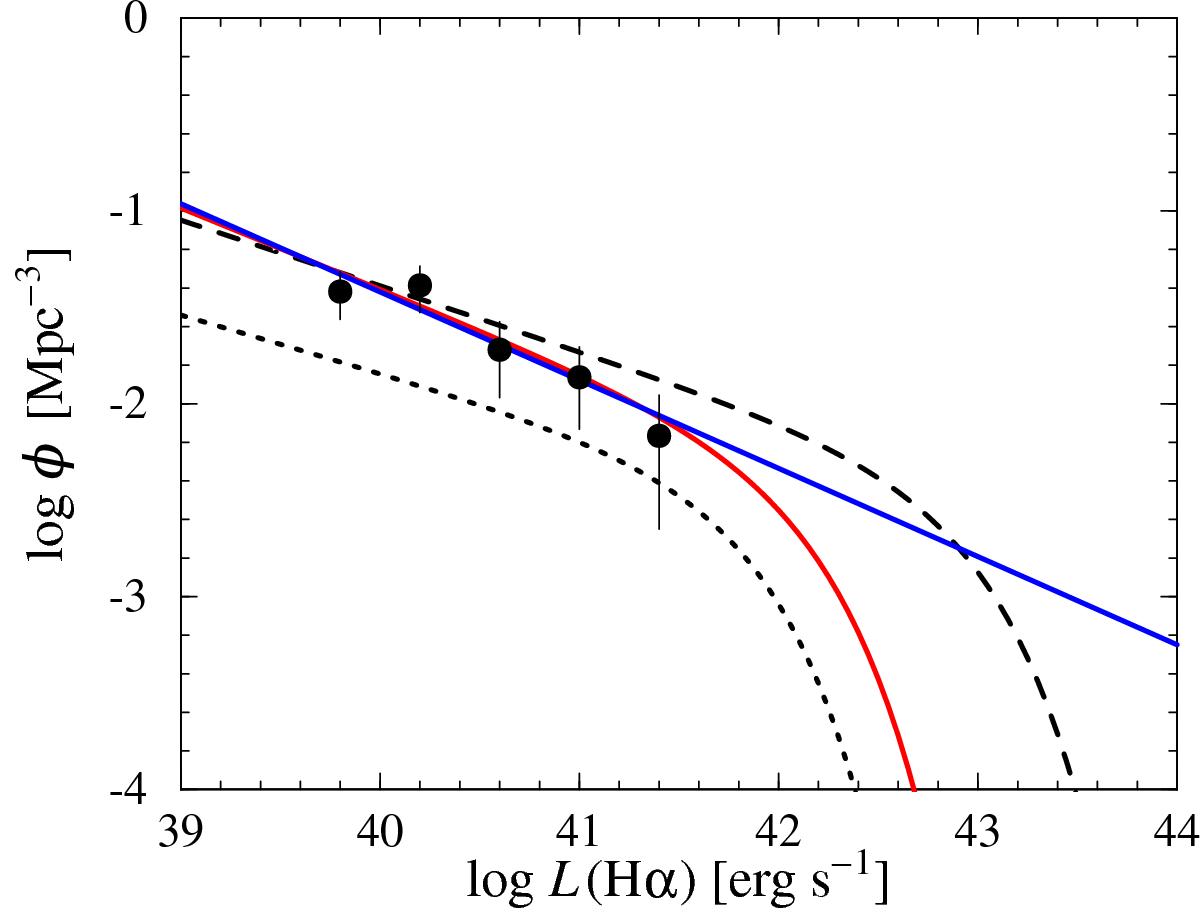
Fig. 11

image

Extinction and incompleteness corrected Hα luminosity function at z ~ 0.62. The best Schechter function fit is shown as a red solid line and the best linear fit as a blue solid line. LF at z ~ 0 from Gallego et al. (1995; black dotted line) and the extinction-corrected LF at z ~ 0.84 from Villar et al. (2008; black dashed line) are also included.

Current usage metrics show cumulative count of Article Views (full-text article views including HTML views, PDF and ePub downloads, according to the available data) and Abstracts Views on Vision4Press platform.

Data correspond to usage on the plateform after 2015. The current usage metrics is available 48-96 hours after online publication and is updated daily on week days.

Initial download of the metrics may take a while.