Free Access

Fig. 2

image

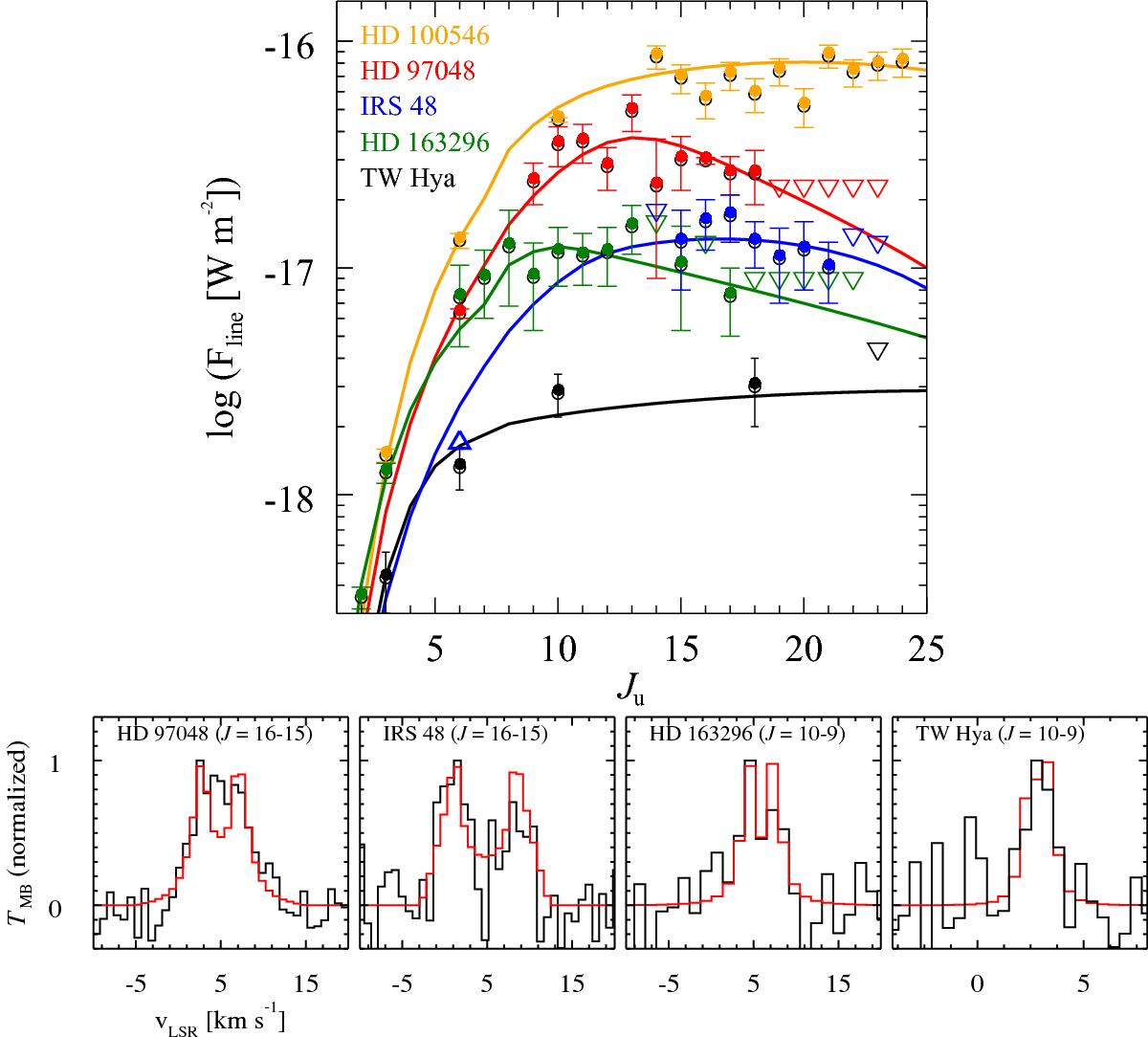
Top: CO rotational ladder. Detections are shown as filled circles and upper limits as open triangles. The solid lines represent the best-fit power-law model. Bottom: best-fit model profile of the CO J = 16–15 (HD 97048 and IRS 48) and CO J = 10–9 (HD 163296 and TW Hya). Spectral resolution as in Fig. 1.

This figure is made of several images, please see below:

Current usage metrics show cumulative count of Article Views (full-text article views including HTML views, PDF and ePub downloads, according to the available data) and Abstracts Views on Vision4Press platform.

Data correspond to usage on the plateform after 2015. The current usage metrics is available 48-96 hours after online publication and is updated daily on week days.

Initial download of the metrics may take a while.