Free Access

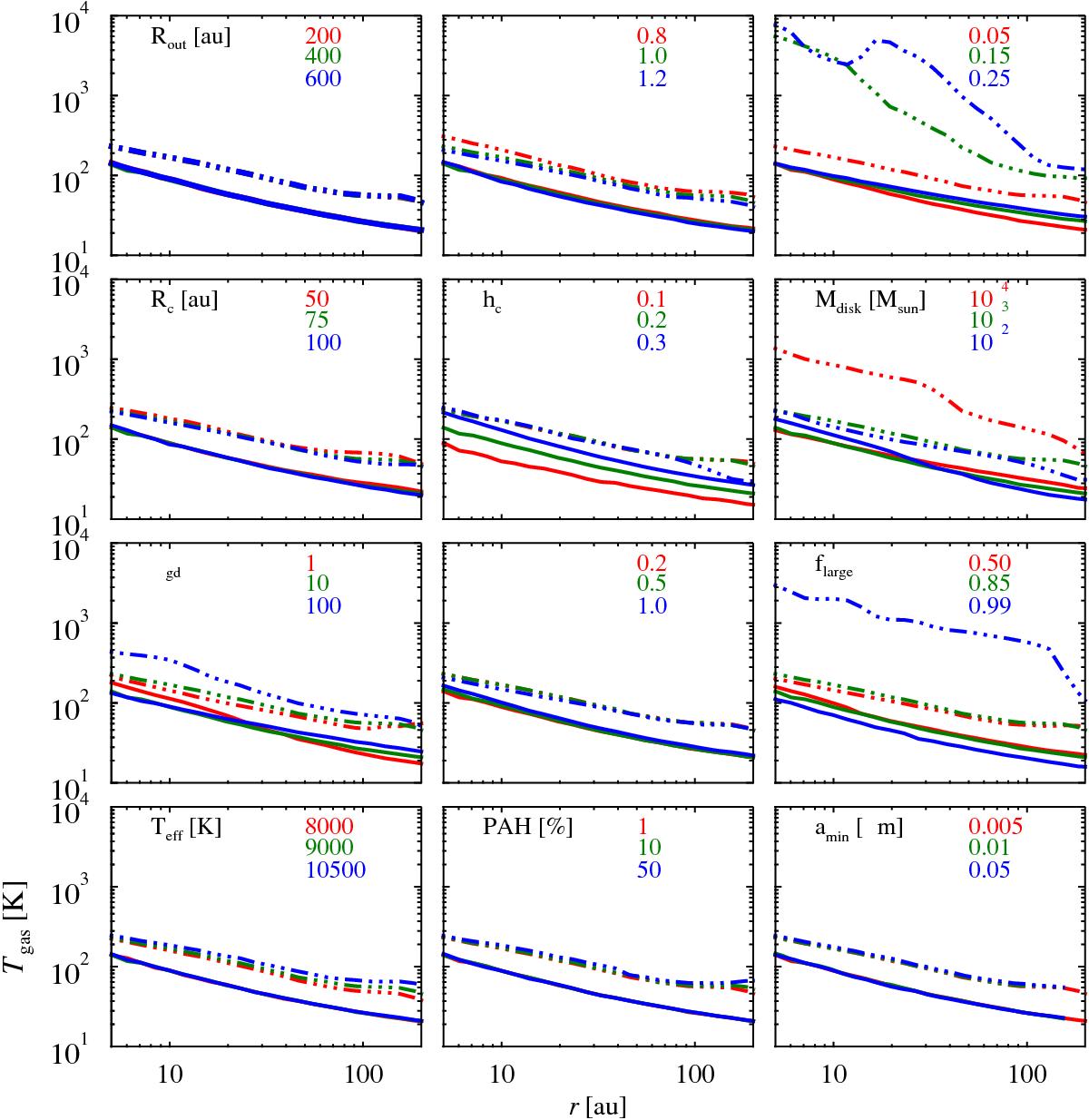
Fig. 5

image

Tgas radial profile for different disk/stellar parameters. The temperature radial profile is shown for the layers z/r = 0.01 (solid lines) and 0.6 (dot-dashed lines). In the case of hc = 1, the CO emitting layer is z/r ~ 0.2–0.3 and the dot-dashed line shows the temperature gradient at z/r = 0.3.

Current usage metrics show cumulative count of Article Views (full-text article views including HTML views, PDF and ePub downloads, according to the available data) and Abstracts Views on Vision4Press platform.

Data correspond to usage on the plateform after 2015. The current usage metrics is available 48-96 hours after online publication and is updated daily on week days.

Initial download of the metrics may take a while.