Free Access

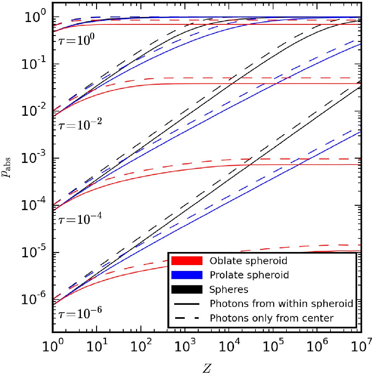
Fig. B.2

image

Absorption probability in contracting spheroids as function of compression Z> 1 calculated by Monte Carlo simulation. At Z = 1 all cases are spherical. The photons start either at the centre only or anywhere inside the ellipsoid in random directions. Different cases are represented where the initial sphere optical depth τ0 is indicated.

Current usage metrics show cumulative count of Article Views (full-text article views including HTML views, PDF and ePub downloads, according to the available data) and Abstracts Views on Vision4Press platform.

Data correspond to usage on the plateform after 2015. The current usage metrics is available 48-96 hours after online publication and is updated daily on week days.

Initial download of the metrics may take a while.