Free Access

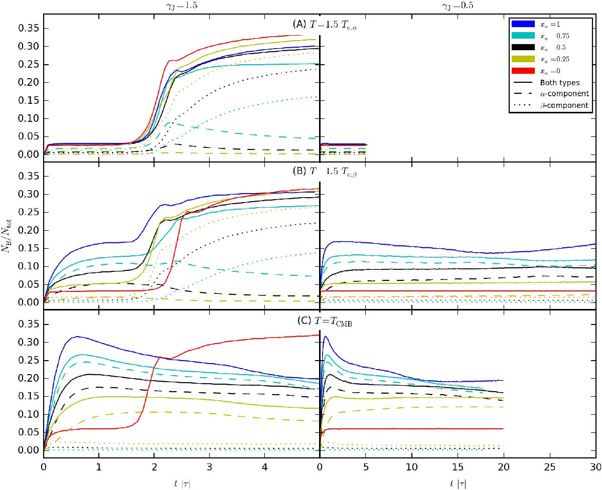
Fig. 9

image

Evolution of the number of bound molecules as a function of time of the A), B), and C) simulations with γJ = 1.5 and 0.5. The simulations with γJ = 0.5 are stopped after 5τ, 30τ, and 20τ for the A), B), and C) simulations, respectively, when no further significant development is expected.

Current usage metrics show cumulative count of Article Views (full-text article views including HTML views, PDF and ePub downloads, according to the available data) and Abstracts Views on Vision4Press platform.

Data correspond to usage on the plateform after 2015. The current usage metrics is available 48-96 hours after online publication and is updated daily on week days.

Initial download of the metrics may take a while.