Free Access

Fig. 10

image

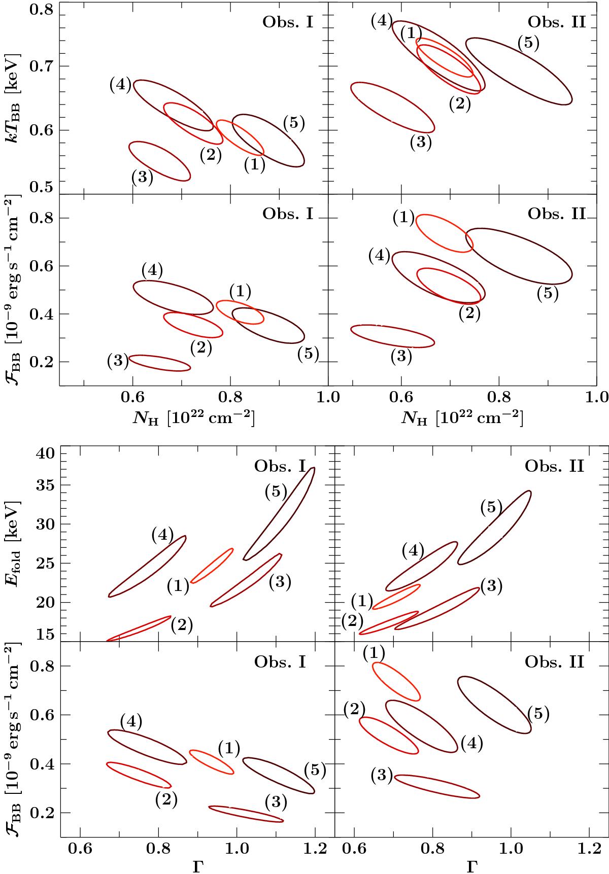
Contour maps showing the 3σ confidence regions for the phase-resolved spectra of both observations. Top: blackbody temperature and flux versus NH. Bottom: folding energy Efold and blackbody flux versus photon index Γ. Tied parameters (iron line energies and detector cross-normalization constants) were held constant for the calculation. The labels (1)–(5) indicate the respective phase interval.

This figure is made of several images, please see below:

Current usage metrics show cumulative count of Article Views (full-text article views including HTML views, PDF and ePub downloads, according to the available data) and Abstracts Views on Vision4Press platform.

Data correspond to usage on the plateform after 2015. The current usage metrics is available 48-96 hours after online publication and is updated daily on week days.

Initial download of the metrics may take a while.