Free Access

Fig. 6

image

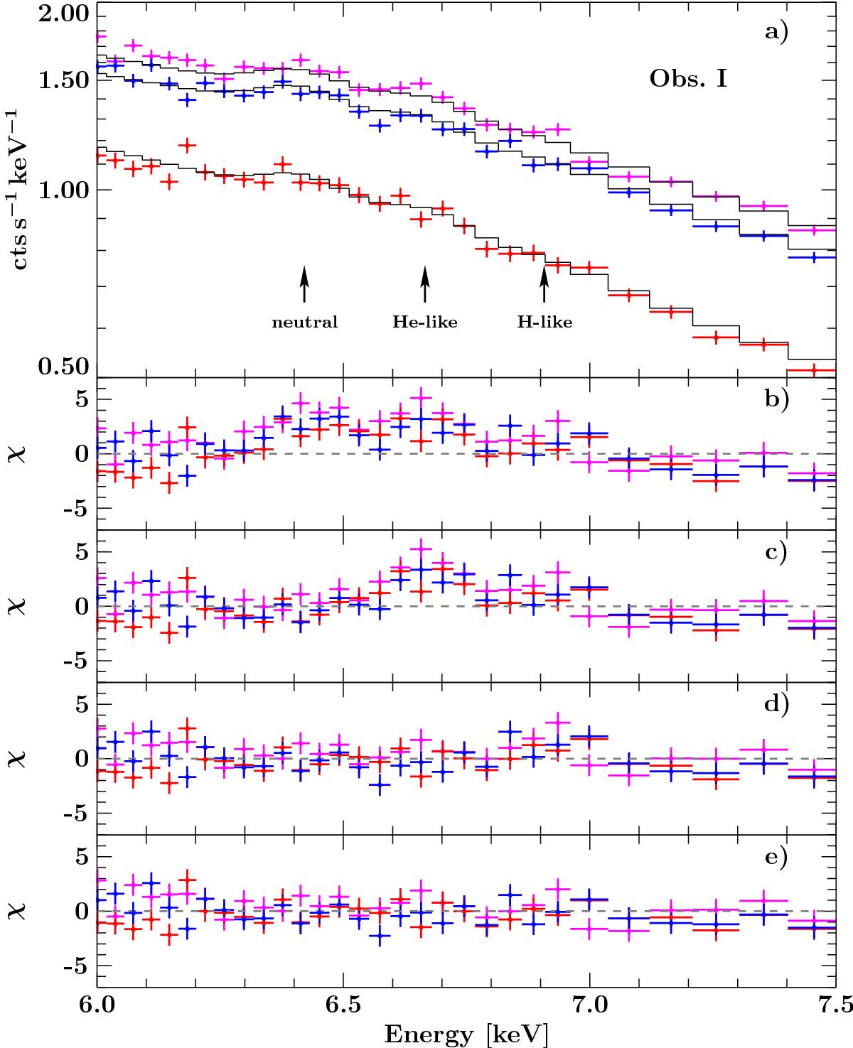
Close-up plot of the iron line region for Obs. I. Panel a): XIS0 (blue), XIS1 (red), and XIS3 (magenta) data with the best-fitting model (black). Panel b): residuals for the continuum model only, i.e., without any emission lines. Panel c): residuals for the continuum model with the Kα line of neutral iron and panel d): residuals for the continuum model with both, neutral and He-like, Kα lines. Panel e): residuals for the continuum model with lines from neutral, He-like, and H-like iron included. All panels show the best fit for the respective model.

Current usage metrics show cumulative count of Article Views (full-text article views including HTML views, PDF and ePub downloads, according to the available data) and Abstracts Views on Vision4Press platform.

Data correspond to usage on the plateform after 2015. The current usage metrics is available 48-96 hours after online publication and is updated daily on week days.

Initial download of the metrics may take a while.