Free Access

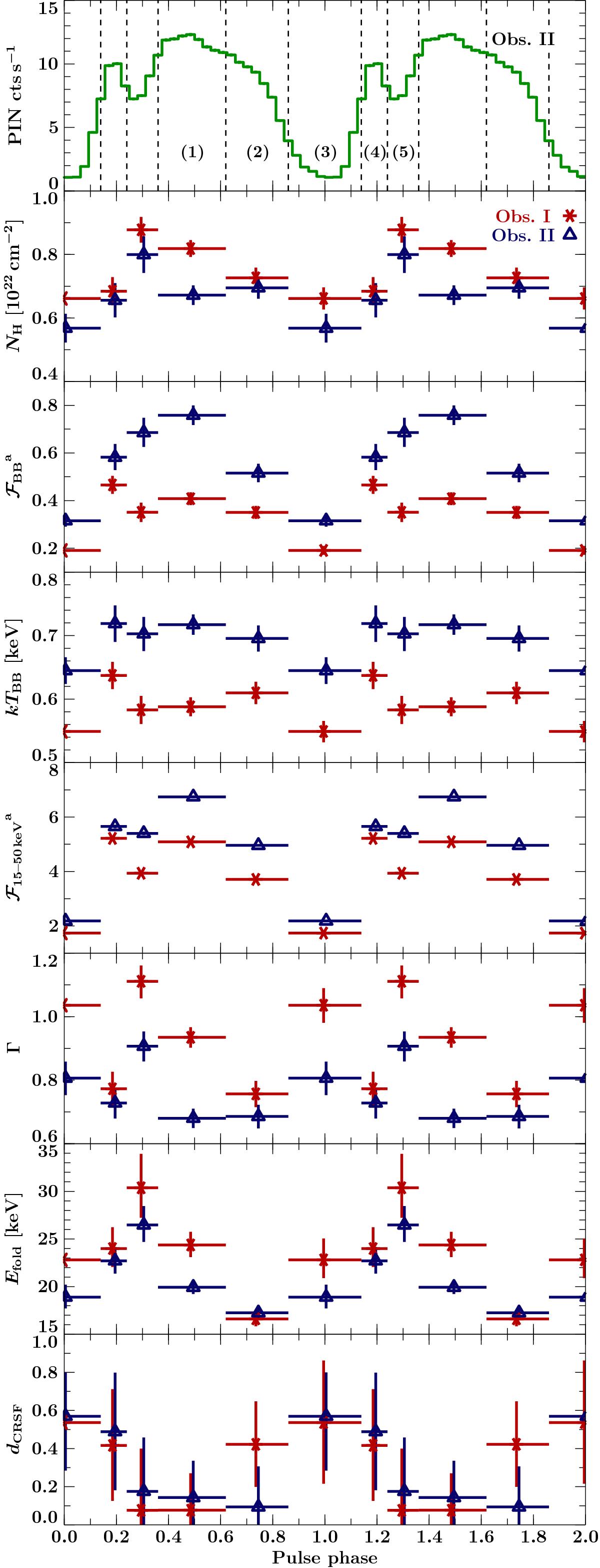
Fig. 9

image

Evolution of the best-fit parameters of Obs. I (red) and Obs. II (blue) over pulse phase. Upper panel: PIN pulse profile of Obs. II over its complete energy range. Dashed lines indicate the selected phase intervals. All fluxes (a) are given in units of 10-9 erg s-1 cm-2. Profiles and parameter evolutions are shown twice for clarity.

Current usage metrics show cumulative count of Article Views (full-text article views including HTML views, PDF and ePub downloads, according to the available data) and Abstracts Views on Vision4Press platform.

Data correspond to usage on the plateform after 2015. The current usage metrics is available 48-96 hours after online publication and is updated daily on week days.

Initial download of the metrics may take a while.