Free Access

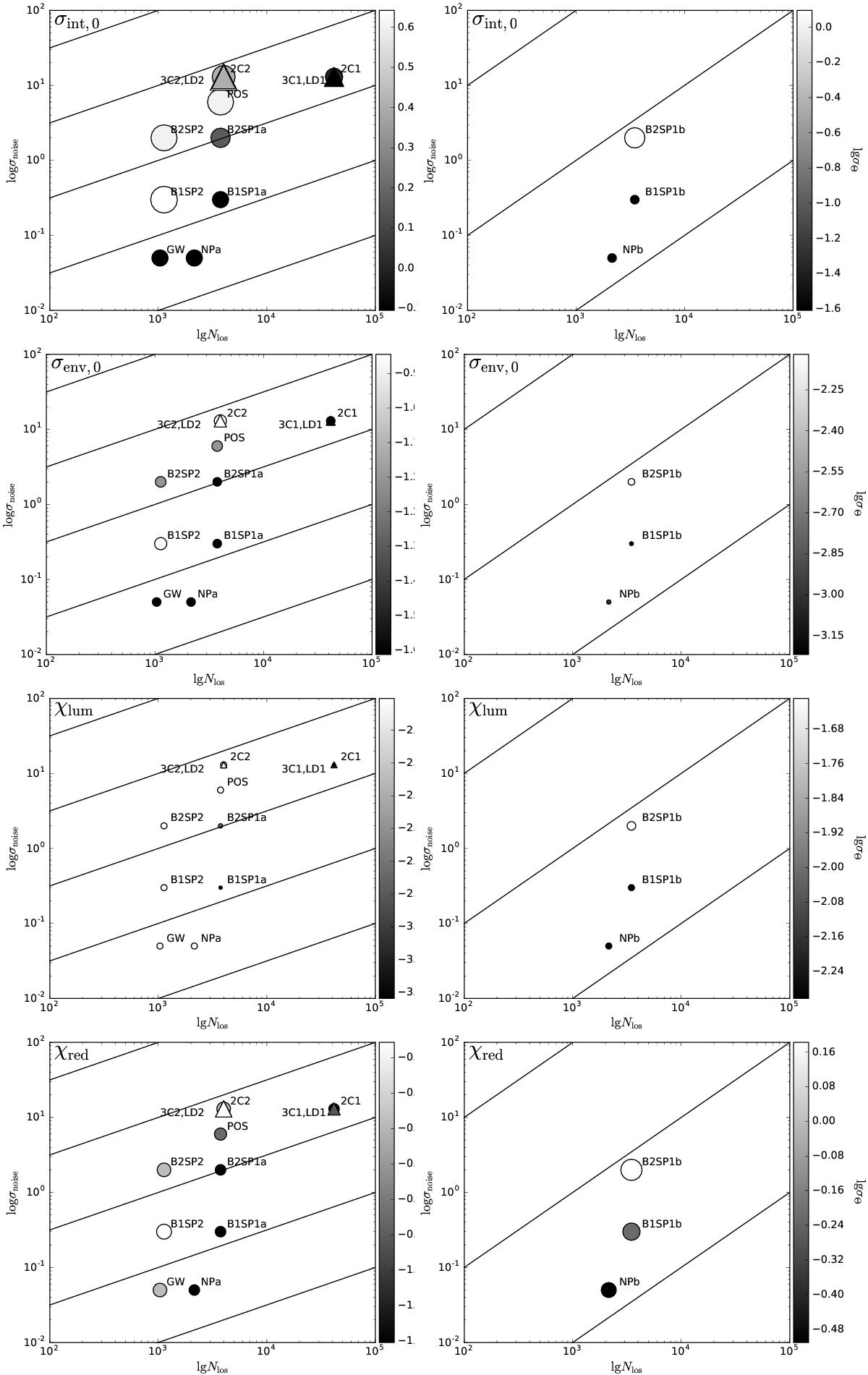
Fig. 6

image

Uncertainty on σint,0, σenv,0, χlum, and χred (from the top to the bottom) as a function of the observational uncertainty σnoise and the number of lines of sight Nlos for an overall extragalactic Faraday depth variance of 7.0 rad m-2 (left panels) and 0.7 rad m-2 (right panels). The size of the points is proportional to the uncertainty on the parameter. A description of this uncertainty is given also by the grayscale. Circles refer to scenarios including two components, while triangles refer to three-component scenarios. Continuous lines correspond to = const.

Current usage metrics show cumulative count of Article Views (full-text article views including HTML views, PDF and ePub downloads, according to the available data) and Abstracts Views on Vision4Press platform.

Data correspond to usage on the plateform after 2015. The current usage metrics is available 48-96 hours after online publication and is updated daily on week days.

Initial download of the metrics may take a while.