Free Access

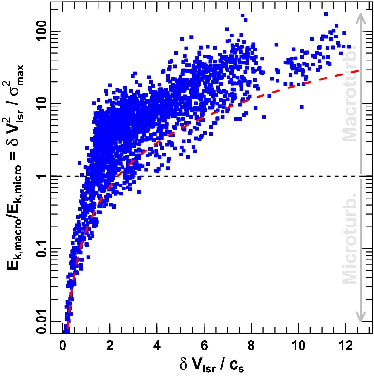
Fig. 12

image

Ratio of the line-of-sight macro- (Ekin,macro) and microscopic (Ekin,micro) kinetic energies as a function of the maximum velocity differences δVlsr (in units of the sound speed at 10 K) for all the spectra observed in B213-L1495 with Npeaks 2. The horizontal dashed line at Ekin,macro/Ekin,micro = 1) separates the two energy regimes dominated by microscopic (; ~15% of the spectra) and macroscopic motions (; ~85% of the spectra). The red dashed curve indicates the maximum velocity that can be resolved in our spectra (see Sect. 2.3).

Current usage metrics show cumulative count of Article Views (full-text article views including HTML views, PDF and ePub downloads, according to the available data) and Abstracts Views on Vision4Press platform.

Data correspond to usage on the plateform after 2015. The current usage metrics is available 48-96 hours after online publication and is updated daily on week days.

Initial download of the metrics may take a while.