Free Access

Fig. 3

image

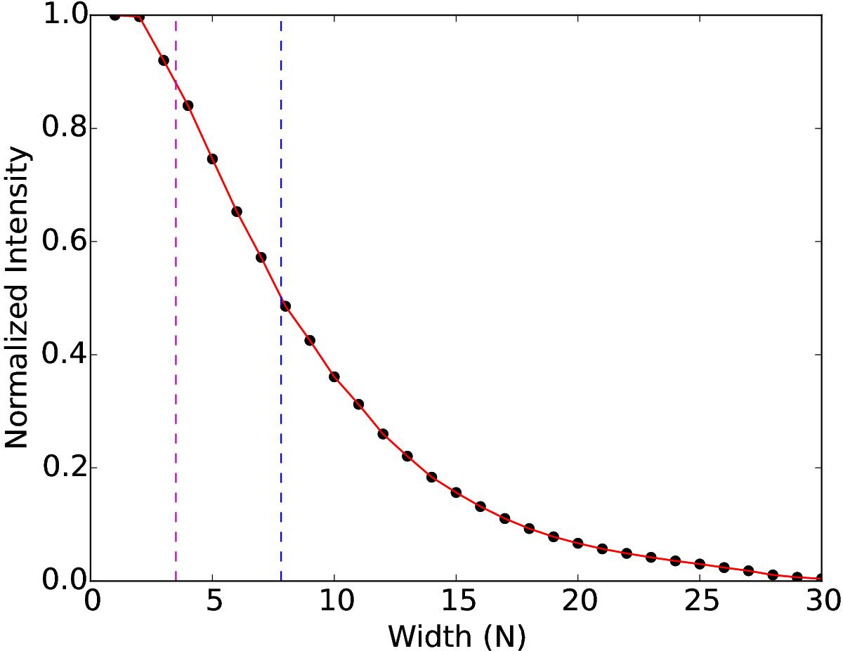
Example of the normalized mean intensity as a function of the width of the dilated skeleton for W51. The filled circles show the measurements while the solid red line simply traces their distribution. The magenta and blue dashed vertical lines, respectively, indicate the angular resolution of the original ATLASGAL maps (19.2′′ corresponding to ~3.2 pixels) and the width of the structure, which is defined as the size at which the intensity reaches half of its maximum.

Current usage metrics show cumulative count of Article Views (full-text article views including HTML views, PDF and ePub downloads, according to the available data) and Abstracts Views on Vision4Press platform.

Data correspond to usage on the plateform after 2015. The current usage metrics is available 48-96 hours after online publication and is updated daily on week days.

Initial download of the metrics may take a while.