Free Access

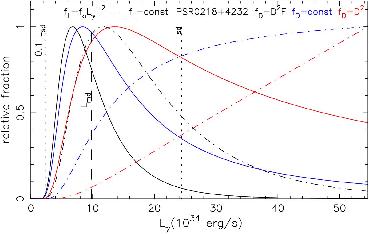
Fig. 9

image

Gamma-ray luminosity probability function determined from the parallax with error and accurate gamma-ray flux of PSR J0218+4232 for three different distance priors and two different luminosity priors. Lsd (Eq. (32)) and 0.1Lsd are indicated with vertical dotted lines; Lmd (Eq. (34)) is indicated with a vertical dashed line.

Current usage metrics show cumulative count of Article Views (full-text article views including HTML views, PDF and ePub downloads, according to the available data) and Abstracts Views on Vision4Press platform.

Data correspond to usage on the plateform after 2015. The current usage metrics is available 48-96 hours after online publication and is updated daily on week days.

Initial download of the metrics may take a while.