Free Access

Fig. 1

image

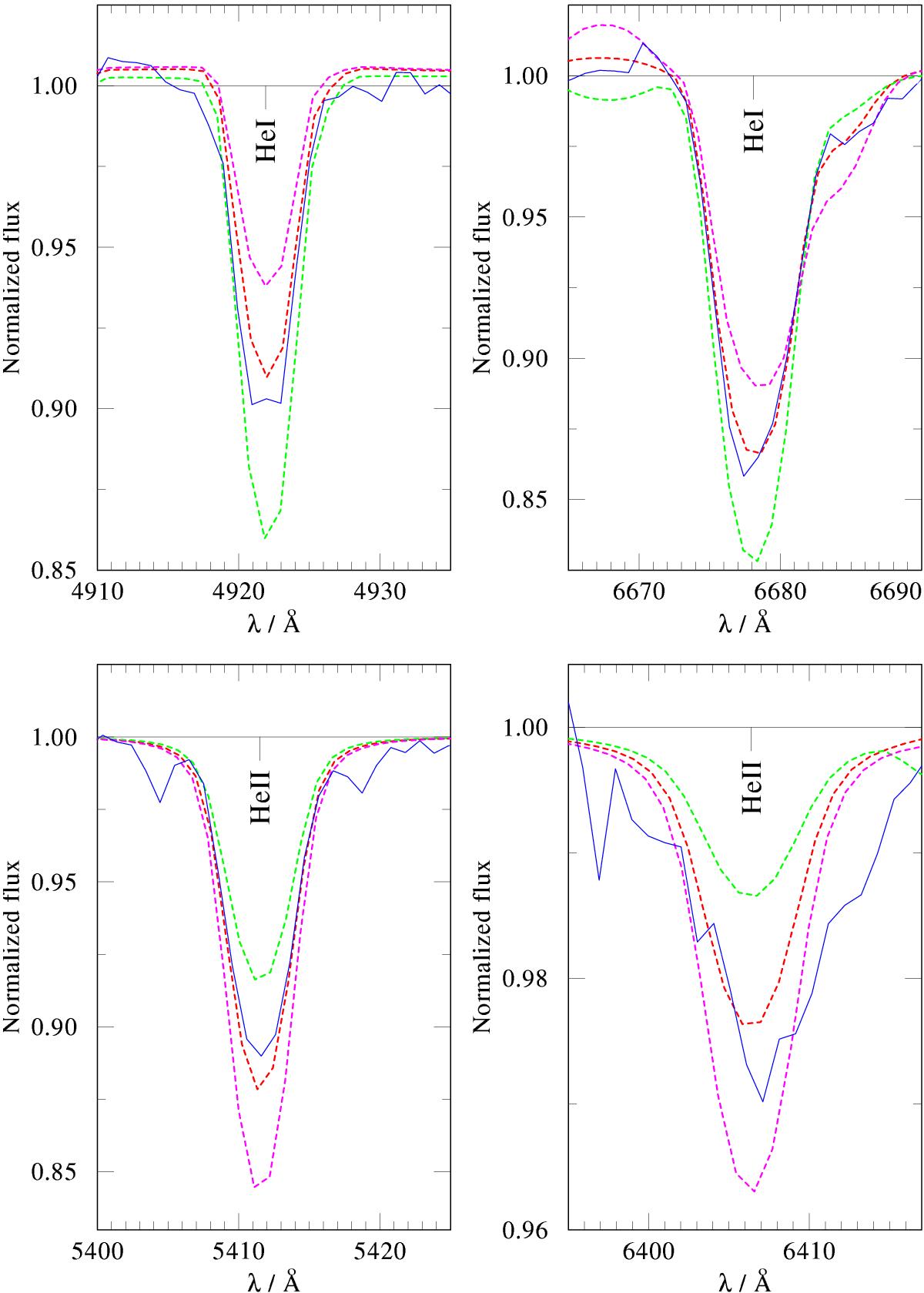
Example of four helium lines in IGR J17544-2619, used to estimate T. We show the observation (solid blue line), the best-fit model (red dashed line), a model with lower temperature of T = 28 kK (green dashed line), and a model with higher temperature of T = 30 kK (pink dashed line).

Current usage metrics show cumulative count of Article Views (full-text article views including HTML views, PDF and ePub downloads, according to the available data) and Abstracts Views on Vision4Press platform.

Data correspond to usage on the plateform after 2015. The current usage metrics is available 48-96 hours after online publication and is updated daily on week days.

Initial download of the metrics may take a while.