Free Access

Fig. 12

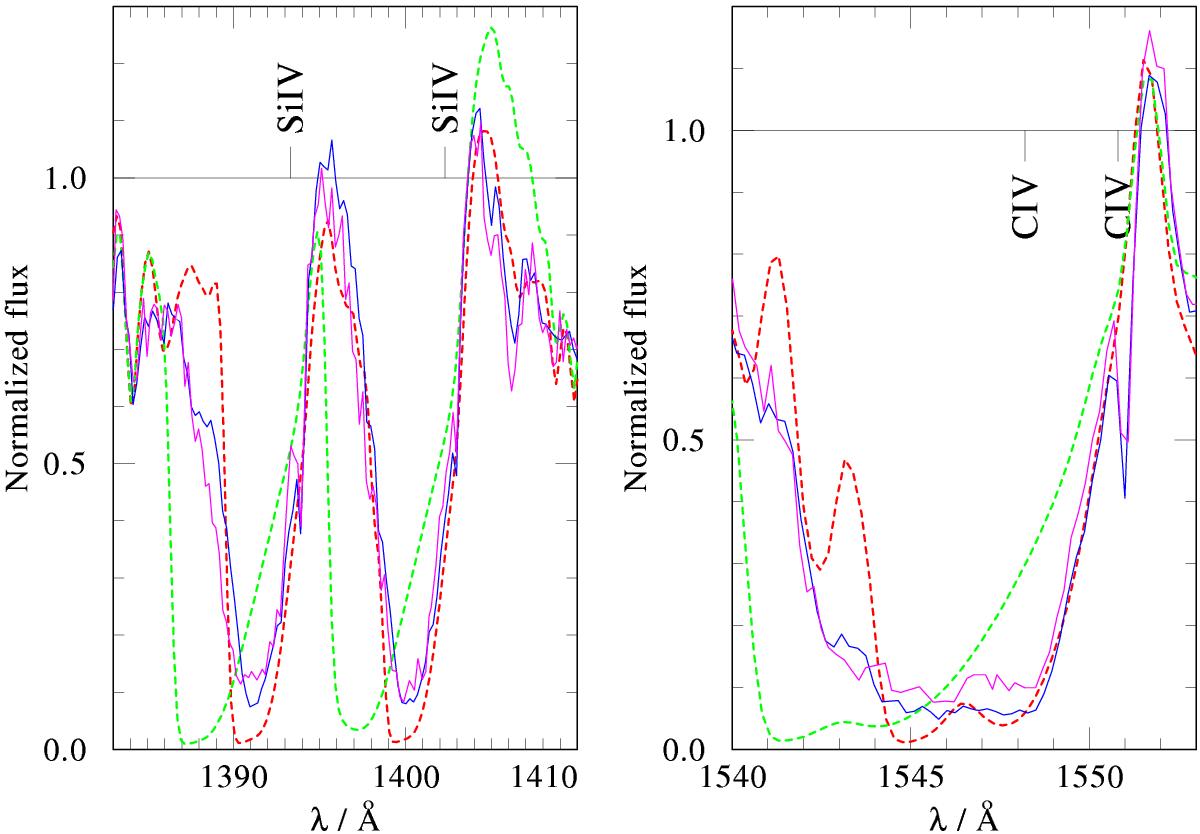
image

Si iv and C iv resonance lines. We plot the total averaged spectrum (blue solid line), and averaged spectrum over orbital phases φ = 0.9−0.1 (pink solid line). We also plot the best-fit model (ν = 700, red dashed line), and a model with ν = 1400 km s-1 (green dashed line).

Current usage metrics show cumulative count of Article Views (full-text article views including HTML views, PDF and ePub downloads, according to the available data) and Abstracts Views on Vision4Press platform.

Data correspond to usage on the plateform after 2015. The current usage metrics is available 48-96 hours after online publication and is updated daily on week days.

Initial download of the metrics may take a while.