Free Access

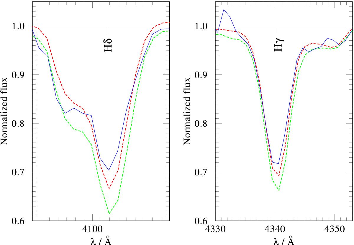
Fig. 2

image

Hγ and Hδ in IGR J17544-2619, used for surface gravity estimation. We show the observation (solid blue line), best-fit model (red dashed line), a model with larger effective gravity of log  (geff) = 3.0 in cgs units (green dashed line).

Current usage metrics show cumulative count of Article Views (full-text article views including HTML views, PDF and ePub downloads, according to the available data) and Abstracts Views on Vision4Press platform.

Data correspond to usage on the plateform after 2015. The current usage metrics is available 48-96 hours after online publication and is updated daily on week days.

Initial download of the metrics may take a while.