Free Access

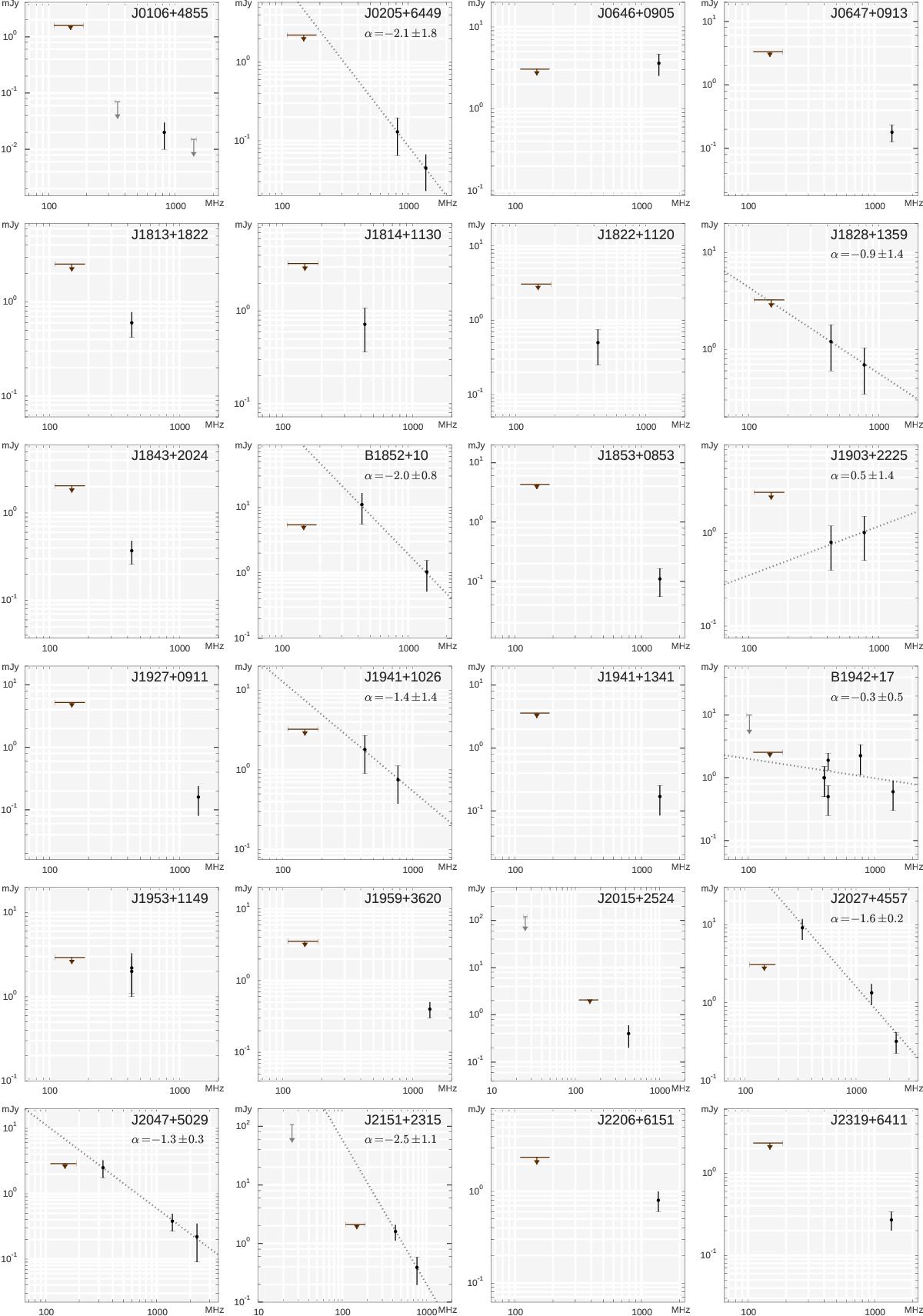
Fig. C.1

image

Spectra of the 24 pulsars which were not detected in the census observations and have at least one previously reported flux density measurement. Some of these pulsars had enough literature data points to make a spectral fit. The upper limits on flux densities were not included in such fits.

This figure is made of several images, please see below:

Current usage metrics show cumulative count of Article Views (full-text article views including HTML views, PDF and ePub downloads, according to the available data) and Abstracts Views on Vision4Press platform.

Data correspond to usage on the plateform after 2015. The current usage metrics is available 48-96 hours after online publication and is updated daily on week days.

Initial download of the metrics may take a while.