Free Access

Fig. 1

image

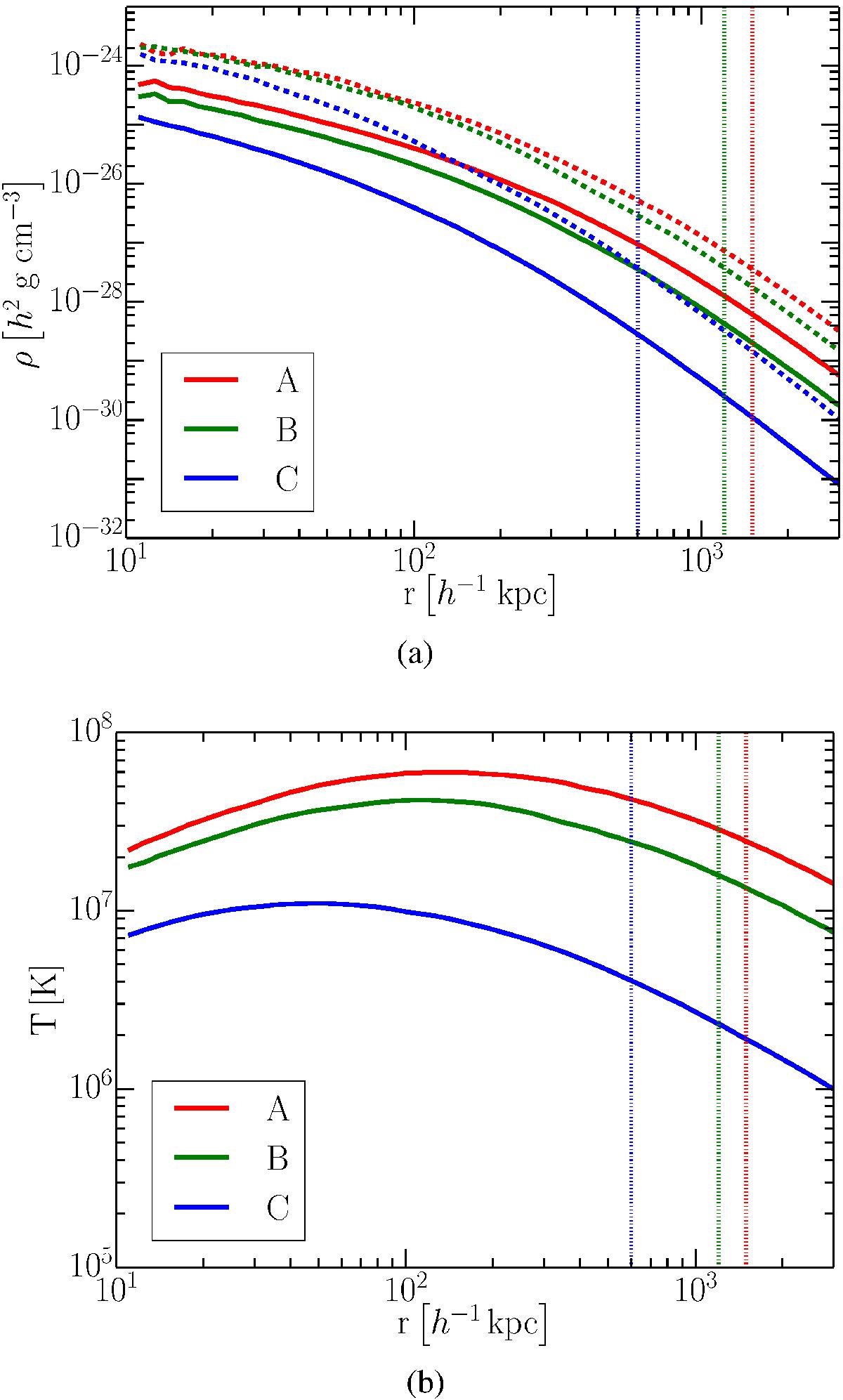
a) Radial density profiles of the gas (solid lines) and DM (dashed lines) of the galaxy cluster models used in this study. The profiles are shown at the beginning of the galaxy interaction, after the cluster models were allowed to relax for ~1 Gyr. Vertical dotted lines indicate the virial radius r200 for clusters A, B, and C, from right to left. b) Corresponding temperature profiles of the ICM.

This figure is made of several images, please see below:

Current usage metrics show cumulative count of Article Views (full-text article views including HTML views, PDF and ePub downloads, according to the available data) and Abstracts Views on Vision4Press platform.

Data correspond to usage on the plateform after 2015. The current usage metrics is available 48-96 hours after online publication and is updated daily on week days.

Initial download of the metrics may take a while.