Free Access

Fig. 10

image

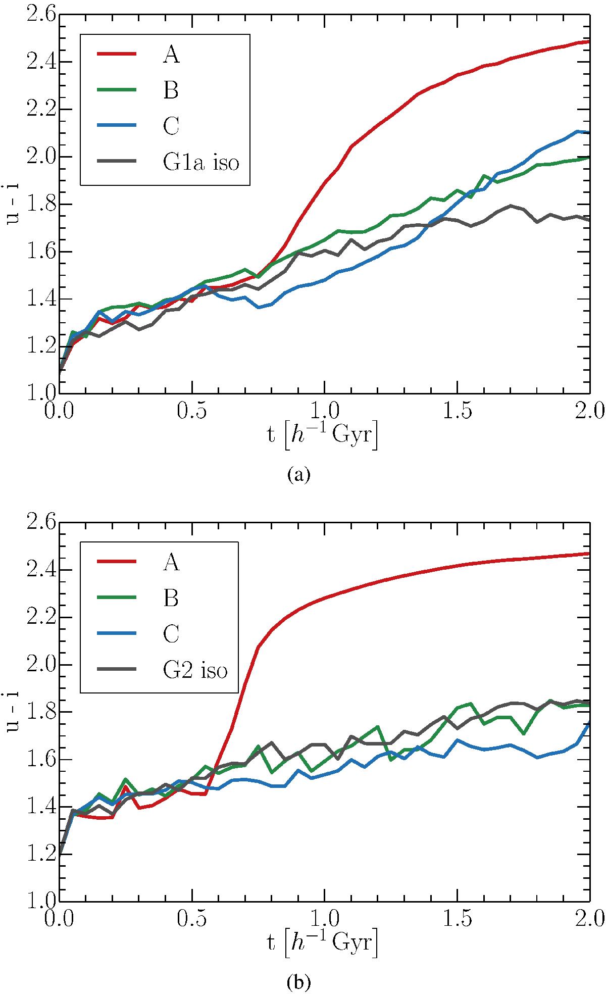
Colour evolution (in the u-i index of the SDSS) of galaxies G1 (top panel) and G2 (bottom panel) as a function of time while interacting with different cluster environments. The slow evolution towards redder colours in the interactions with clusters B and C is actually very similar to the evolution of the galaxies in isolation, showing that the gas consumption timescale is not significantly affected by RPS in these models. This is different in the deep interaction with cluster A, where a rapid shutdown of SF is achieved.

This figure is made of several images, please see below:

Current usage metrics show cumulative count of Article Views (full-text article views including HTML views, PDF and ePub downloads, according to the available data) and Abstracts Views on Vision4Press platform.

Data correspond to usage on the plateform after 2015. The current usage metrics is available 48-96 hours after online publication and is updated daily on week days.

Initial download of the metrics may take a while.