Free Access

Fig. 13

image

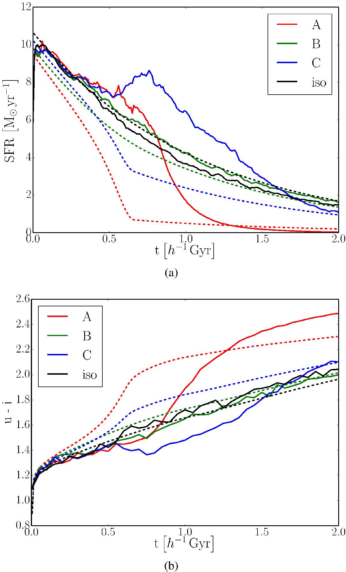
Comparison of the simulations with SAM expectations. a) The SFR of galaxy G1a in cluster A, B, and C (runs S1, S3, and S4, respectively) and galaxy G1c is depicted with solid lines. The dashed lines correspond to the SFR of galaxy G1c with standard prescriptions for RPS (Gunn & Gott 1972) and SF (Cora 2006). In b), the same comparison is shown for the time evolution of the galaxy colours.

This figure is made of several images, please see below:

Current usage metrics show cumulative count of Article Views (full-text article views including HTML views, PDF and ePub downloads, according to the available data) and Abstracts Views on Vision4Press platform.

Data correspond to usage on the plateform after 2015. The current usage metrics is available 48-96 hours after online publication and is updated daily on week days.

Initial download of the metrics may take a while.