Free Access

Fig. 2

image

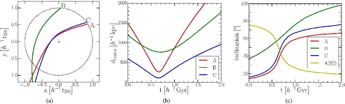
Fiducial galaxy orbits adopted for studying the interaction of galaxy model G1a with the three different galaxy clusters constructed for the study. a) Trajectories of the galaxy in clusters A, B, and C, scaled to the virial radius of the corresponding cluster. b) Time evolution of the distance of the galaxy to the corresponding cluster centre. c) Effective inclination angle of the galaxy (angle between the spin vector of the disk and its instantaneous velocity vector).

This figure is made of several images, please see below:

Current usage metrics show cumulative count of Article Views (full-text article views including HTML views, PDF and ePub downloads, according to the available data) and Abstracts Views on Vision4Press platform.

Data correspond to usage on the plateform after 2015. The current usage metrics is available 48-96 hours after online publication and is updated daily on week days.

Initial download of the metrics may take a while.