Free Access

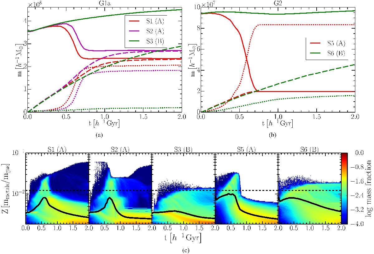
Fig. 8

image

Panels a) and b): evolution of metal mass in both model galaxies as a function of simulation time for interactions with clusters A or B, respectively. The solid lines indicate the metal mass in both gas and newly formed stars that are gravitationally bound to the galaxy, whereas the dashed lines give the metal mass locked up only in newly formed stars. The dotted lines indicate the metal mass in the stripped gas wake. Panel c): metallicity histograms of stripped gas (considering gas cells not gravitationally bound to the galaxy anymore and with ISM mass fraction >1%) as a function of time. The colour encodes the mass fraction in each metallicity bin of the total gas mass stripped for each timestep. The black solid line shows the mean metallicity value of the gas cells in the histogram, while the dashed line indicates Z.

This figure is made of several images, please see below:

Current usage metrics show cumulative count of Article Views (full-text article views including HTML views, PDF and ePub downloads, according to the available data) and Abstracts Views on Vision4Press platform.

Data correspond to usage on the plateform after 2015. The current usage metrics is available 48-96 hours after online publication and is updated daily on week days.

Initial download of the metrics may take a while.