Free Access

Fig. 9

image

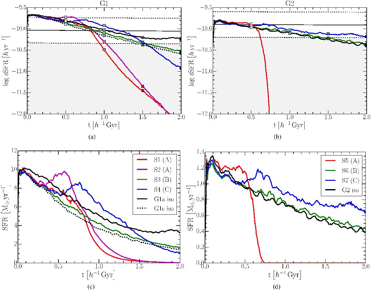
a), b) Evolution of the of model galaxies G1a, G1c, and G2 in isolation and cluster environments. The value of the main sequence of SF for the particular galaxy (black solid line) and 0.3 dex scatter (dashed black lines), taken from Schawinski et al. (2014), are shown. The grey shaded area indicates the region where they find “green-valley” galaxies. c), d) SFR of the model galaxies.

This figure is made of several images, please see below:

Current usage metrics show cumulative count of Article Views (full-text article views including HTML views, PDF and ePub downloads, according to the available data) and Abstracts Views on Vision4Press platform.

Data correspond to usage on the plateform after 2015. The current usage metrics is available 48-96 hours after online publication and is updated daily on week days.

Initial download of the metrics may take a while.