Free Access

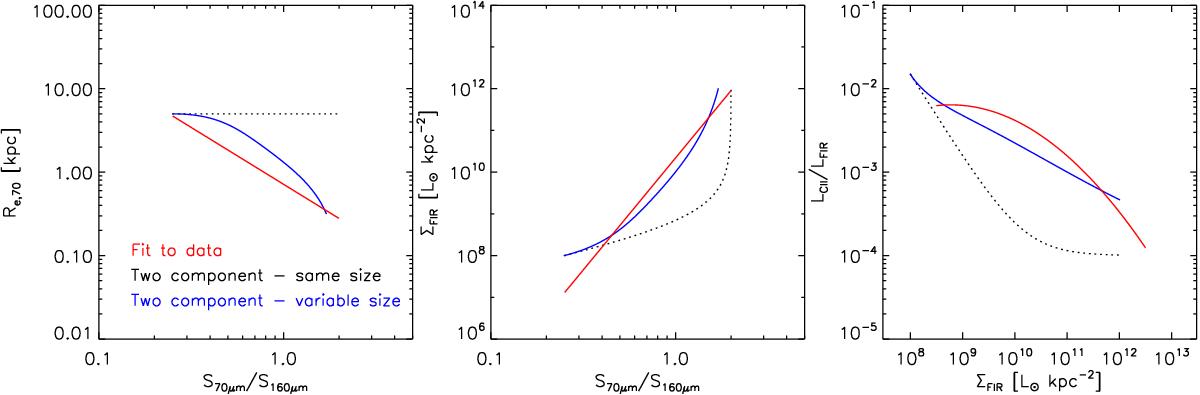
Fig. 9

image

Comparison of observed scalings to two component toy models. Red lines show the fits to the data as previously shown in Fig. 6 (here: left and center panel) and Fig. 8 (right panel). Both toy models include a mix of a “disk” component with cold dust and a high ratio [Cii]/FIR, and a “dense star formation” component with warm dust and low [Cii]/FIR, with varying surface brightness of the warm component. Spreading the dense SF component with low filling factor over a large disk is a very poor fit, while scaling down its size with surface brightness gives a first approximation to the data.

Current usage metrics show cumulative count of Article Views (full-text article views including HTML views, PDF and ePub downloads, according to the available data) and Abstracts Views on Vision4Press platform.

Data correspond to usage on the plateform after 2015. The current usage metrics is available 48-96 hours after online publication and is updated daily on week days.

Initial download of the metrics may take a while.