Free Access

Fig. 9

image

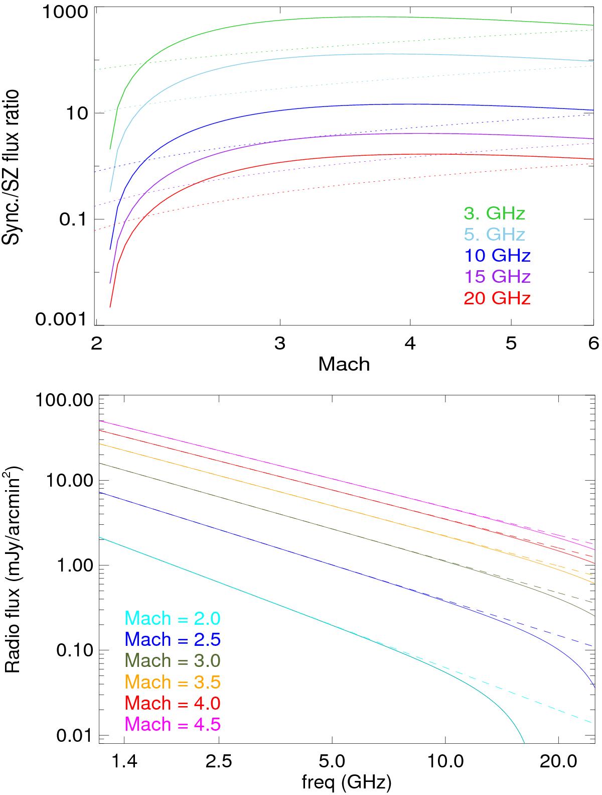
Effect of a change in Mach number onto the measured radio spectrum. Top panel: synchrotron-to-SZ flux ratio as a function of the shock Mach number, seen at different observing frequencies. In the DSA-based model this ratio varies rapidly only below ℳ ≲ 2.5, above which it asymptotes to a constant ratio that starts to decrease at high -values. For comparison, results from a simple 3 dependence of the radio synchrotron power is shown with dotted lines, where the flux ratio increases linearly (see Sect. 4.2). Bottom panel: the observed radio spectra for different Mach number values, using the linear Mach dependence of the synchrotron-to-SZ flux ratio. The dashed lines are uncontaminated synchrotron spectra that follow a single power law throughout.

This figure is made of several images, please see below:

Current usage metrics show cumulative count of Article Views (full-text article views including HTML views, PDF and ePub downloads, according to the available data) and Abstracts Views on Vision4Press platform.

Data correspond to usage on the plateform after 2015. The current usage metrics is available 48-96 hours after online publication and is updated daily on week days.

Initial download of the metrics may take a while.