Free Access

Fig. 4

image

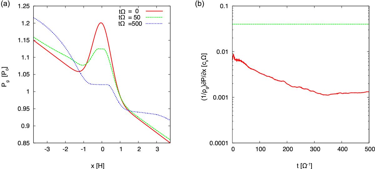
a) Vertically averaged gas pressure profile and b) time evolution of the radial pressure gradient force averaged spatially in the dust-dense region from run β04-2D (2D w/bump). As the dust particles accumulate at the bump, the total gas pressure profile is flattened. Then the pressure gradient force at the bump converges to ~ 0.0013, which is lower than the global pressure gradient β = −0.04 set initially (green dashed line).

Current usage metrics show cumulative count of Article Views (full-text article views including HTML views, PDF and ePub downloads, according to the available data) and Abstracts Views on Vision4Press platform.

Data correspond to usage on the plateform after 2015. The current usage metrics is available 48-96 hours after online publication and is updated daily on week days.

Initial download of the metrics may take a while.