Free Access

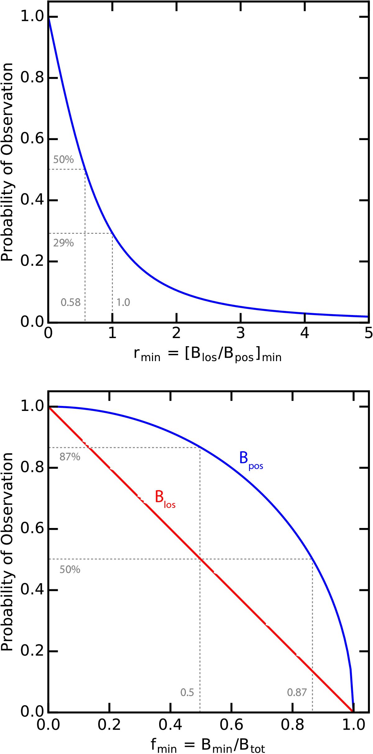
Fig. 5

image

Top panel: probability for the ratio of the magnetic field measurement of the plane-of-sky component and of the los component to yield a value of at least rmin. Bottom panel: probability for a magnetic field measurement of the plane-of-sky component (blue curve) and of the los component (red curve) to yield a fraction of at least fmin of the total magnetic flux density.

Current usage metrics show cumulative count of Article Views (full-text article views including HTML views, PDF and ePub downloads, according to the available data) and Abstracts Views on Vision4Press platform.

Data correspond to usage on the plateform after 2015. The current usage metrics is available 48-96 hours after online publication and is updated daily on week days.

Initial download of the metrics may take a while.