Free Access

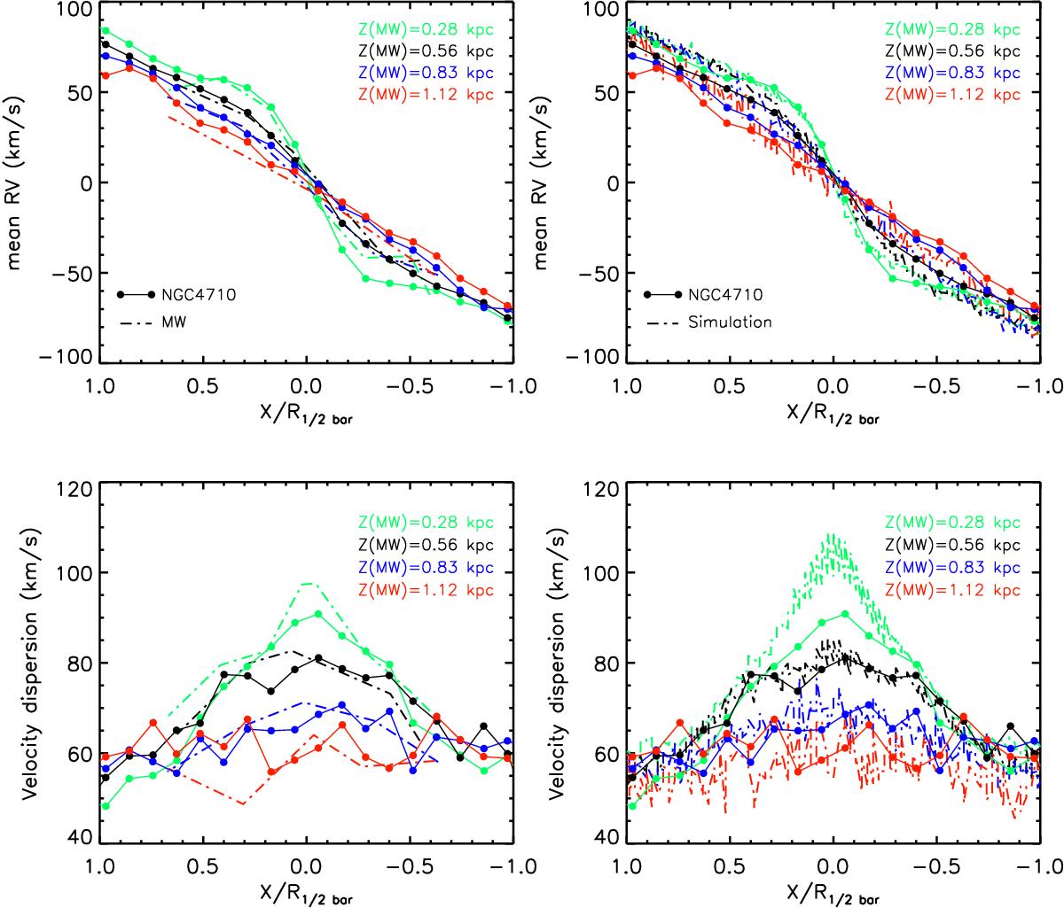
Fig. 7

image

Filled circles joined by solid lines show the mean LOS velocity and velocity dispersion curves of NGC 4710 at four heights from the plane Z = 0.28, 0.56 , 0.83, and 1.12 kpc. Dashed lines show the corresponding rotation curves of the Milky Way bulge from Zoccali et al. (2014; left panels) and of a disc galaxy simulation from Cole et al. (2014; right panels). Spatial coordinates of NGC 4710 and the simulation were scaled to match the Milky Way bulge bar scale length (Rbar = 3.5 kpc). The mean velocities and velocity dispersion of NGC 4710 and the simulation were obtained in bins of 0.2 kpc at the same scale heights of the Milky Way bulge measurements using the spatial scaling factor of 0.88 and 1.2 for NGC 4710 and the simulation, respectively. Velocities of the Milky Way bulge and the simulation were scaled to match the maximum velocity of the bulge of NGC 4710.

Current usage metrics show cumulative count of Article Views (full-text article views including HTML views, PDF and ePub downloads, according to the available data) and Abstracts Views on Vision4Press platform.

Data correspond to usage on the plateform after 2015. The current usage metrics is available 48-96 hours after online publication and is updated daily on week days.

Initial download of the metrics may take a while.