Free Access

Fig. 2

image

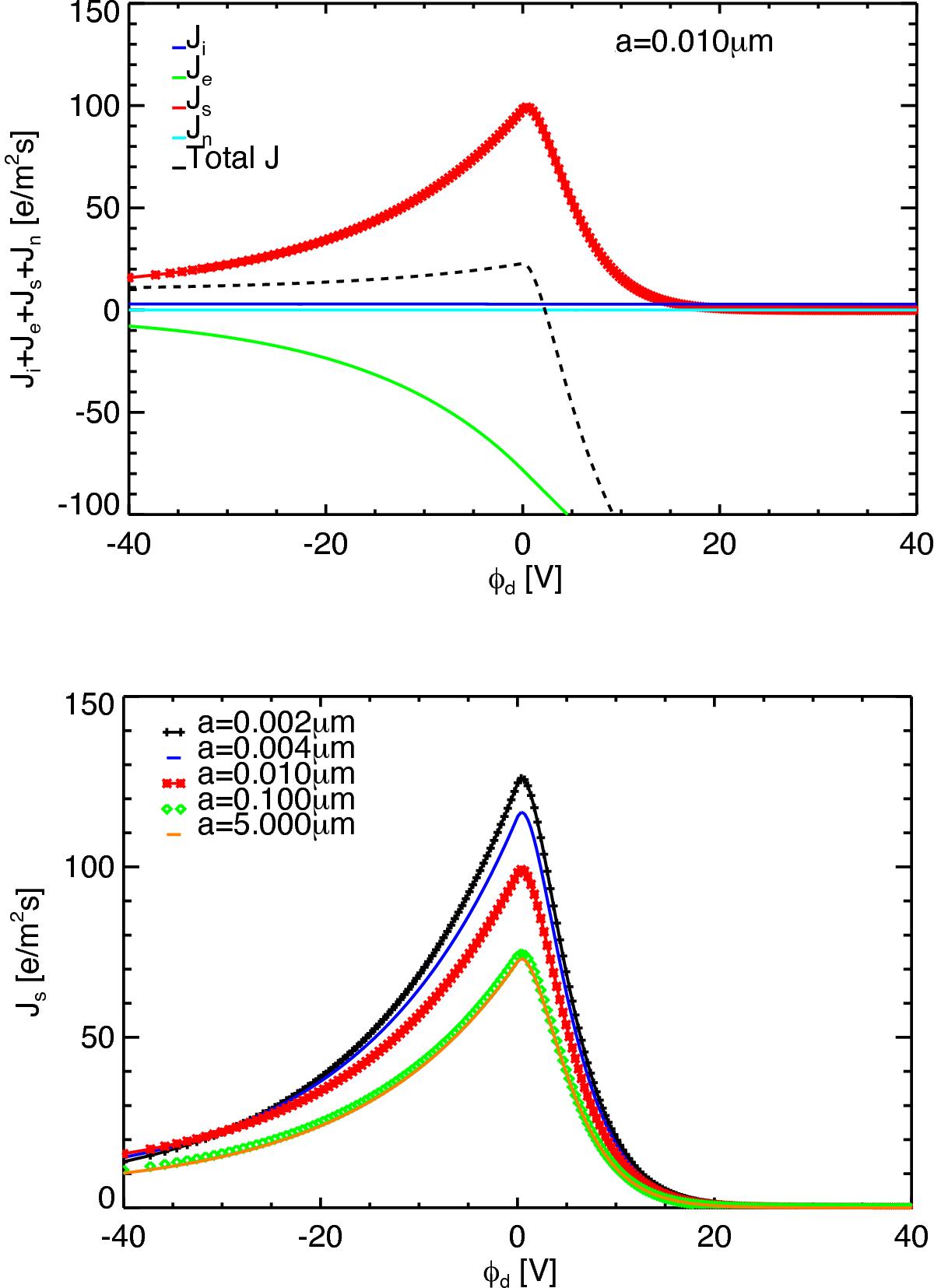
Top: current-potential characteristics for NaCl grains with a = 0.01 μm in the Jupiter plasma environment at r ~ 5.7RJ (in the Jupiter equator and at fixed 110° western longitude, see text) with , , and kTs = 2.5eV. All currents contributing to charging process are shown. Bottom: dependence of the secondary electron current Js(φd,a) given by Eq. (7) on the potential of NaCl grains of different radii corresponding to Fig. 1 (top).

This figure is made of several images, please see below:

Current usage metrics show cumulative count of Article Views (full-text article views including HTML views, PDF and ePub downloads, according to the available data) and Abstracts Views on Vision4Press platform.

Data correspond to usage on the plateform after 2015. The current usage metrics is available 48-96 hours after online publication and is updated daily on week days.

Initial download of the metrics may take a while.