Free Access

Fig. 5

image

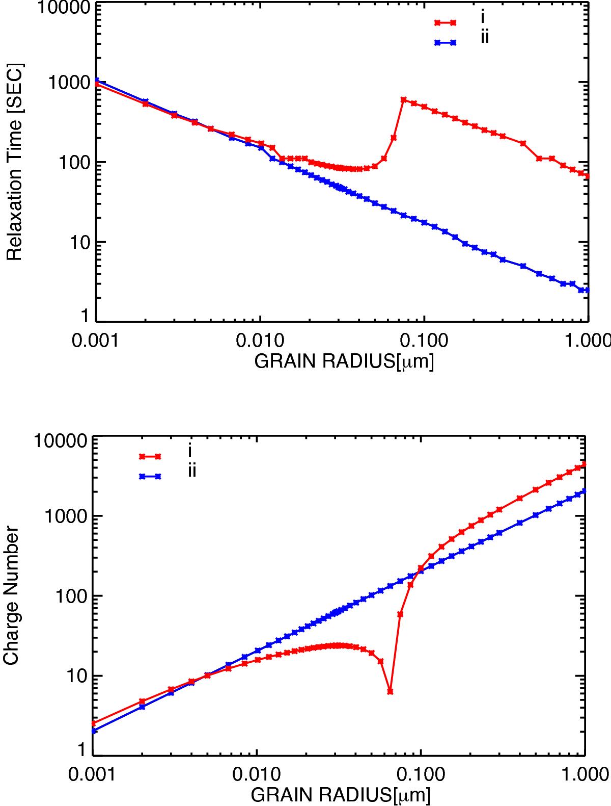
Top: dependence of the relaxation time τd for charge deviations on the grain’s radius a. The results presented for NaCl grains immersed in typical plasma conditions expected at r ~ 5.7RJ distance in the Jupiter system (see text). The result (i) is obtained for the generalized Js model (7) and compared to results (ii) obtained using the Sternglass approximation for SEE. Bottom: dependence of the charge number |⟨N⟩| on grain’s radius a with the same parameters and notation as for Fig. 5 (top).

This figure is made of several images, please see below:

Current usage metrics show cumulative count of Article Views (full-text article views including HTML views, PDF and ePub downloads, according to the available data) and Abstracts Views on Vision4Press platform.

Data correspond to usage on the plateform after 2015. The current usage metrics is available 48-96 hours after online publication and is updated daily on week days.

Initial download of the metrics may take a while.