Free Access

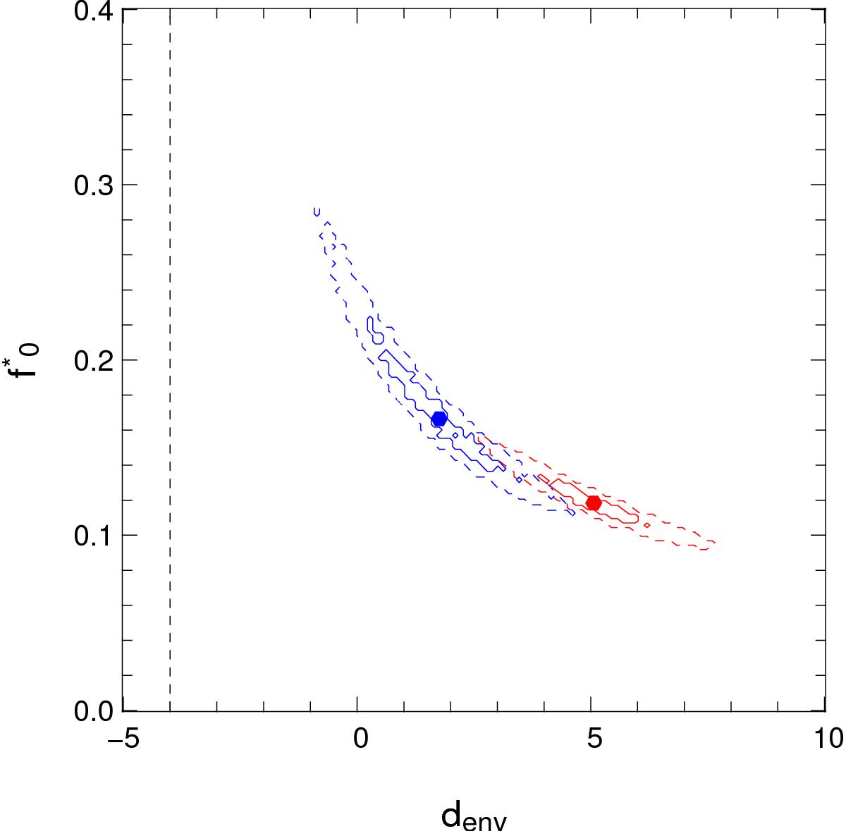
Fig. 4

image

Chromatic parameters determination for epoch A (red) and C (blue) at 1σ (solid lines) and 3σ (dashed lines). The red (epoch A) and blue (epoch C) points are the best values for the chromatic parameters. These values were used for the image reconstruction process. The vertical dashed line indicates the spectral index of the central star, which equals − 4 because the star is assumed to be in the Rayleigh-Jeans regime.

Current usage metrics show cumulative count of Article Views (full-text article views including HTML views, PDF and ePub downloads, according to the available data) and Abstracts Views on Vision4Press platform.

Data correspond to usage on the plateform after 2015. The current usage metrics is available 48-96 hours after online publication and is updated daily on week days.

Initial download of the metrics may take a while.