Free Access

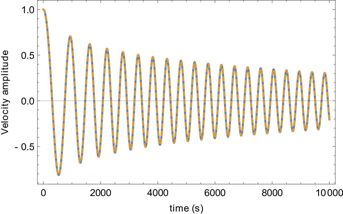
Fig. 10

image

Temporal behaviour of the perturbed velocity for a prominence plasma whose temperature increases with time with radiative damping of perturbations included (continuous line), and for a prominence plasma whose temperature increases with time, with radiative damping of perturbations and thermal conduction included (dashed line). H = 3.5 × 10-5 W m-3, τ = 3000 s, T0i = 10 000 K, kz = 3 × 10-7 m-1. The velocity amplitude has been normalized.

Current usage metrics show cumulative count of Article Views (full-text article views including HTML views, PDF and ePub downloads, according to the available data) and Abstracts Views on Vision4Press platform.

Data correspond to usage on the plateform after 2015. The current usage metrics is available 48-96 hours after online publication and is updated daily on week days.

Initial download of the metrics may take a while.