Free Access

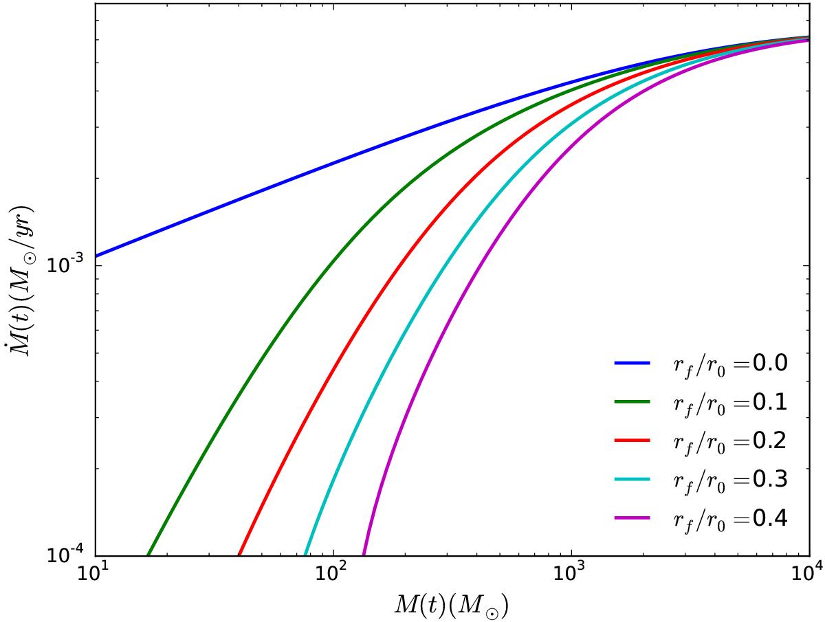
Fig. 2

image

Mass accretion rate plotted against mass for several final radius values rf/r0 inside a 104 M cloud, assuming the interior of the cloud collapses in free fall. The radius at which is evaluated increases from the top to the bottom curve.

Current usage metrics show cumulative count of Article Views (full-text article views including HTML views, PDF and ePub downloads, according to the available data) and Abstracts Views on Vision4Press platform.

Data correspond to usage on the plateform after 2015. The current usage metrics is available 48-96 hours after online publication and is updated daily on week days.

Initial download of the metrics may take a while.