Free Access

This article has an erratum: [https://doi.org/10.1051/0004-6361/201528001e]


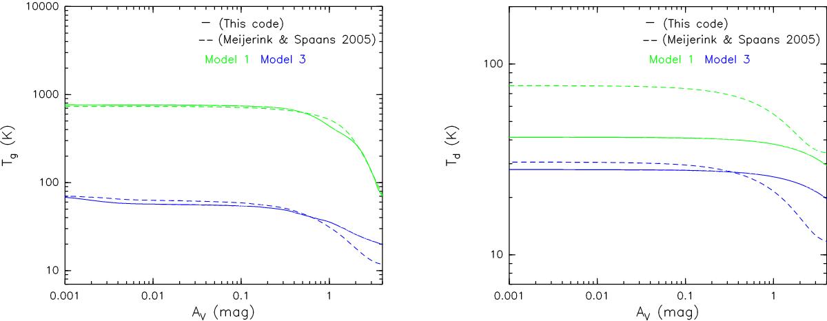
Fig. 14

image

Comparison of the gas temperature (left) and dust temperature (right) for Models 1 (G0 = 104 and nH = 104 cm-3) and 3 (G0 = 102 and nH = 106 cm-3) with those obtained from the original version of the Meijerink code (Meijerink & Spaans 2005).

This figure is made of several images, please see below:

Current usage metrics show cumulative count of Article Views (full-text article views including HTML views, PDF and ePub downloads, according to the available data) and Abstracts Views on Vision4Press platform.

Data correspond to usage on the plateform after 2015. The current usage metrics is available 48-96 hours after online publication and is updated daily on week days.

Initial download of the metrics may take a while.