Free Access

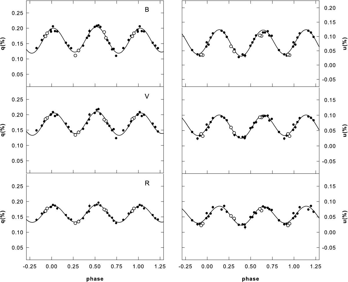
Fig. 2

image

Stokes parameters q and u of HD 48099 plotted against the orbital period phase. The data obtained with the KVA and T60 telescopes are shown by filled and hollow circles respectively. Phase “0.0” corresponds to primary conjunction. The Fourier fit with two harmonics is indicated by the solid line. Error bars (± σ) are shown, or are less than the size of the symbol.

Current usage metrics show cumulative count of Article Views (full-text article views including HTML views, PDF and ePub downloads, according to the available data) and Abstracts Views on Vision4Press platform.

Data correspond to usage on the plateform after 2015. The current usage metrics is available 48-96 hours after online publication and is updated daily on week days.

Initial download of the metrics may take a while.