Free Access

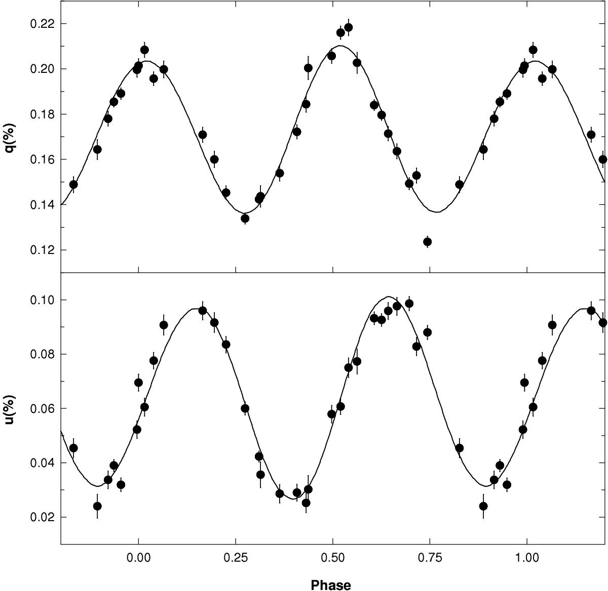
Fig. 5

image

Best model fit to the polarization data in the V-band for the reflecting shells scenario. The ellipsoidal shell around the primary has the equatorial radius re = 1.1RA and polar radius rp = 1.05RA, where RA is the radius of the primary star. Spherical illuminating stars with the linear limb darkening coefficient 0.2 have been assumed.

Current usage metrics show cumulative count of Article Views (full-text article views including HTML views, PDF and ePub downloads, according to the available data) and Abstracts Views on Vision4Press platform.

Data correspond to usage on the plateform after 2015. The current usage metrics is available 48-96 hours after online publication and is updated daily on week days.

Initial download of the metrics may take a while.