Free Access

This article has an erratum: [https://doi.org/10.1051/0004-6361/201528031e]


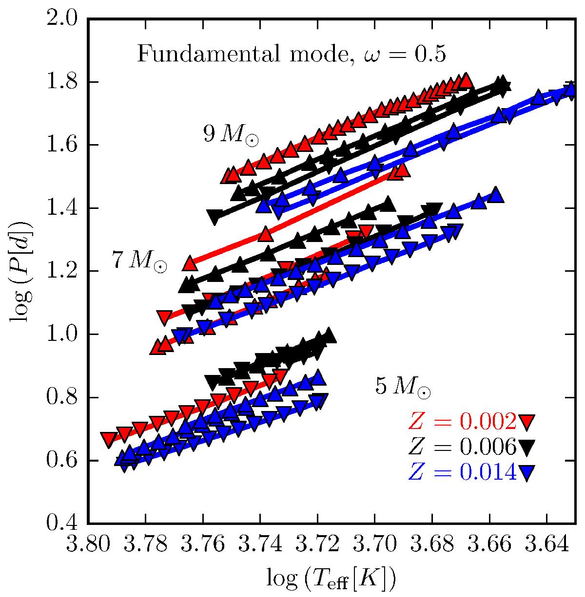
Fig. 6

image

Period against effective temperature for 5, 7, and 9M fundamental mode models with average rotation and different metallicities, as indicated. Downward triangles represent models on the 2nd crossing, upward triangles those on the 3rd crossing.

Current usage metrics show cumulative count of Article Views (full-text article views including HTML views, PDF and ePub downloads, according to the available data) and Abstracts Views on Vision4Press platform.

Data correspond to usage on the plateform after 2015. The current usage metrics is available 48-96 hours after online publication and is updated daily on week days.

Initial download of the metrics may take a while.