Free Access

This article has an erratum: [https://doi.org/10.1051/0004-6361/201528031e]


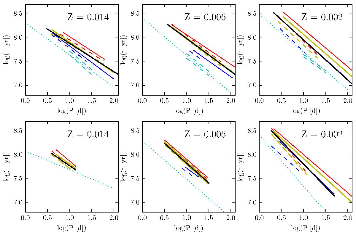
Fig. 9

image

Period-age relations for fundamental mode (top panels) and first overtone (bottom panels) Cepheids with ω = 0.5 (average rotation), ordered by metallicity as labeled, cf. Table 4. Relations are fitted separately on second (dashed lines) and third (solid lines) crossings near the hot (blue) and cool (red) IS edge over the range of periods predicted (cf. Sect. 3.2). Yellow lines represent IS-averaged relations, and black solid lines are averaged over IS position and crossing. Dotted cyan lines show the relations by Bono et al. (2005) that do not account for rotation, plotted for the arbitrary period range of 1–100: Shorter cyan dashed lines show the impact of the IS width (Bono et al. 2005, Table 7) for fundamental mode Cepheids. Ages based on our crossing average relations (black solid lines) are older than ages based on these literature relations by Δlog t ~ 0.2 at a period of 10 days.

This figure is made of several images, please see below:

Current usage metrics show cumulative count of Article Views (full-text article views including HTML views, PDF and ePub downloads, according to the available data) and Abstracts Views on Vision4Press platform.

Data correspond to usage on the plateform after 2015. The current usage metrics is available 48-96 hours after online publication and is updated daily on week days.

Initial download of the metrics may take a while.