Free Access

Fig. 1

image

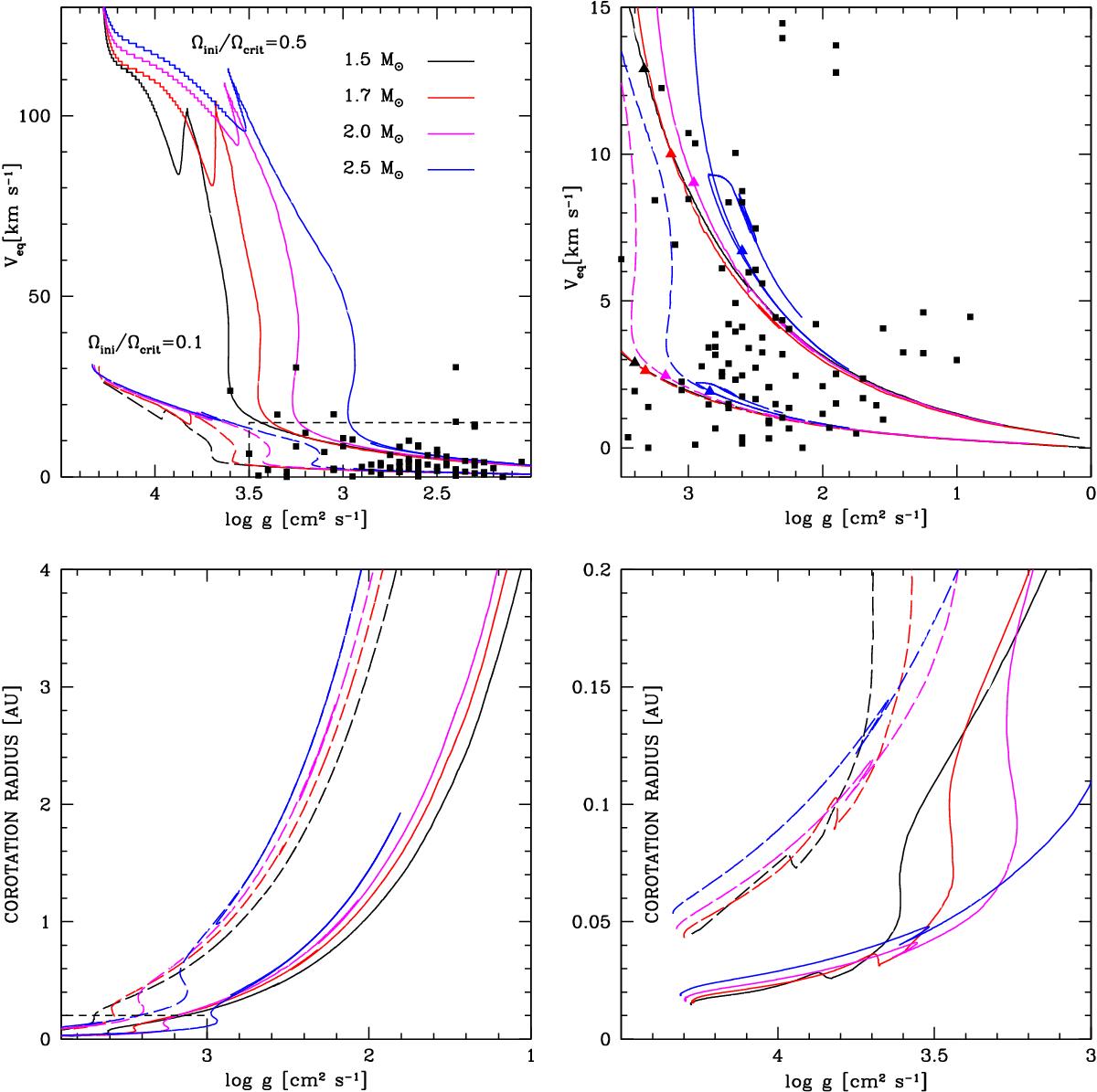
Upper left panel: evolution of the surface equatorial velocity for our stellar models. No tidal interactions and planet engulfments are considered. The initial masses and rotations are indicated. The rectangle area indicated at the right bottom corner indicates the region that is zoomed on the upper right panel. Upper right panel: zoom on the RG branch phase for the same stellar models, as those shown on the upper left panel. Triangles indicate where the dredge-up occurs. Black full squares correspond to the sample of red giants observed by Carlberg et al. (2012). Lower left panel: evolution of the corotation radius (in au) for rotating stellar models with no tidal interactions during the RG branch phase. For the 2.5 M, the core He-burning phase is also shown. The rectangle area indicated at the left bottom corner indicates the region that is zoomed on the lower right panel. Lower right panel: same as the lower left panel, but the MS phase and the crossing of the Hertzsprung-Russel (HR) gap are shown.

This figure is made of several images, please see below:

Current usage metrics show cumulative count of Article Views (full-text article views including HTML views, PDF and ePub downloads, according to the available data) and Abstracts Views on Vision4Press platform.

Data correspond to usage on the plateform after 2015. The current usage metrics is available 48-96 hours after online publication and is updated daily on week days.

Initial download of the metrics may take a while.