Free Access

Fig. 3

image

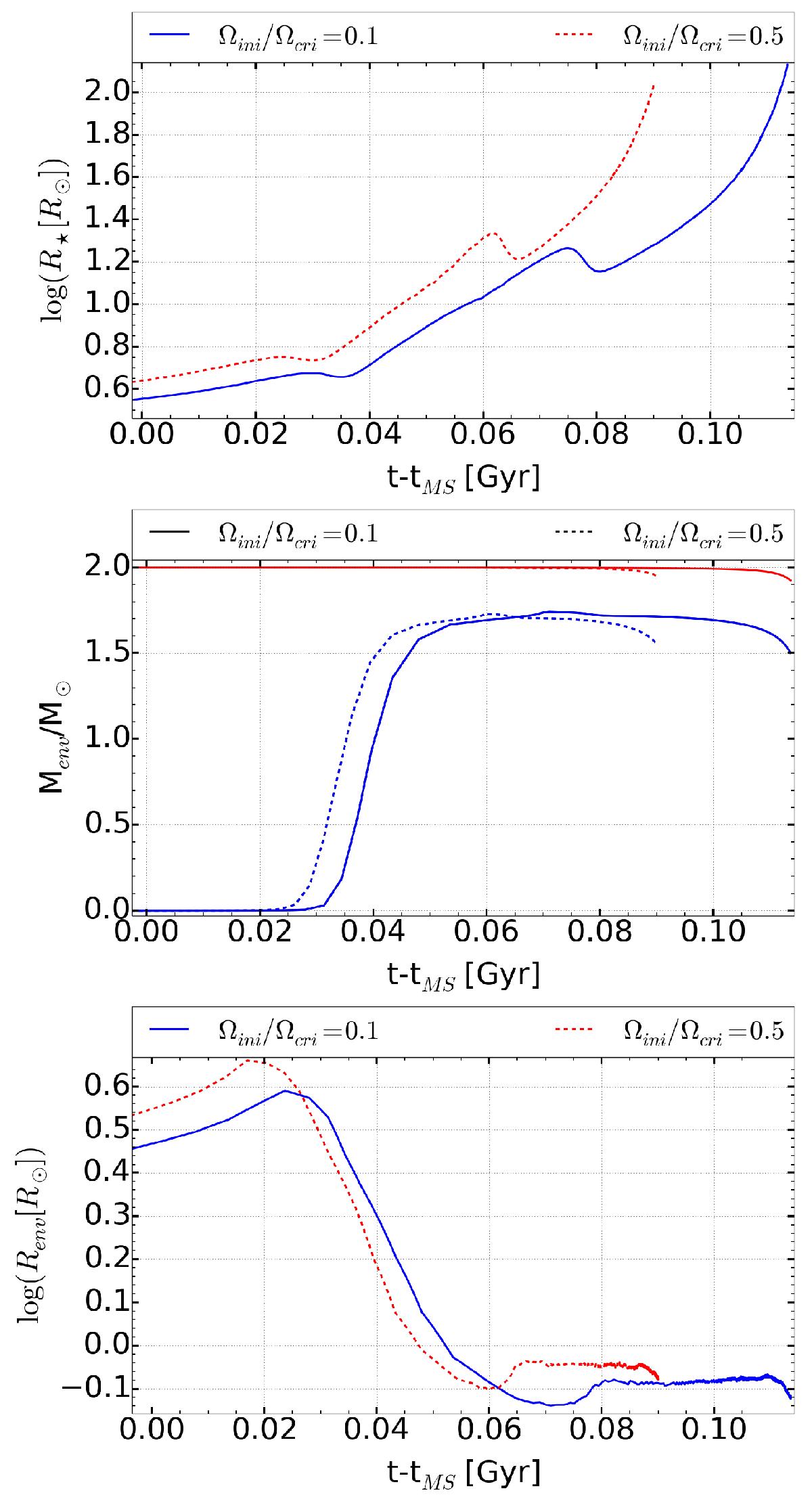
Top: evolution of stellar radii for the 2 M models. Continuous and dotted lines correspond to stars with initial velocities Ωini/ Ωcrit = 0.1 and 0.5, respectively. Time 0 corresponds to the end of the MS phase. Centre: evolution of the total mass of the star (upper red lines) and of the masses of the convective envelopes (lower blue curves) for the same stars as in the top panel. Bottom: radii at the bottom of the convective envelopes for the same stars as in the top panel.

This figure is made of several images, please see below:

Current usage metrics show cumulative count of Article Views (full-text article views including HTML views, PDF and ePub downloads, according to the available data) and Abstracts Views on Vision4Press platform.

Data correspond to usage on the plateform after 2015. The current usage metrics is available 48-96 hours after online publication and is updated daily on week days.

Initial download of the metrics may take a while.