Free Access

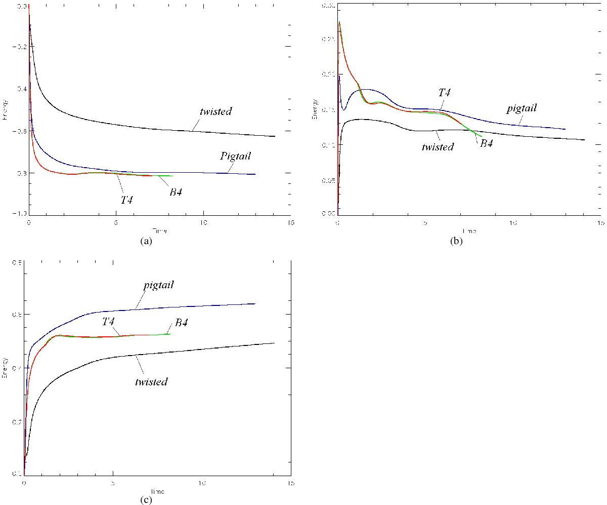
Fig. 14

image

Scaled energy plots for the four field types embedded in a dipolar background with energies scaled by their initial values. Panel a): difference in (scaled) magnetic energy Eb from the initial value; b): scaled kinetic energy Eke, and c): difference in scaled internal energy Eint from its initial value.

Current usage metrics show cumulative count of Article Views (full-text article views including HTML views, PDF and ePub downloads, according to the available data) and Abstracts Views on Vision4Press platform.

Data correspond to usage on the plateform after 2015. The current usage metrics is available 48-96 hours after online publication and is updated daily on week days.

Initial download of the metrics may take a while.