Free Access

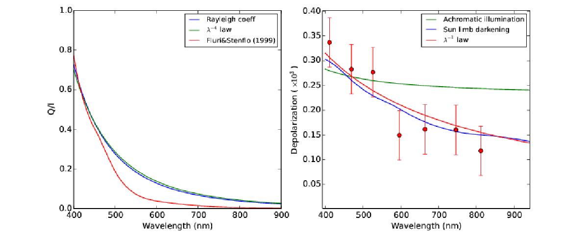
Fig. 6

image

Wavelength dependence of the polarization of the continuum (left) and depolarization in the spectral lines (right) under different approximations. On the left are shown the polarization of simple Rayleigh scattering by hydrogen atoms (blue), the approximation λ-4 (green), and the empirical law from Fluri & Stenflo (1999) for the continuum of the Sun taking into account the chromatic dependence of limb darkening (red). On the right is shown depolarization in the lines, without taking into account the chromatic variation of limb darkening (achromatic illumination, green curve), or including this variation as in the solar case (blue). Points are the maxima of the main polarization peak represented in Fig. 5 with their error bars, together with the power law λ-1 (red).

Current usage metrics show cumulative count of Article Views (full-text article views including HTML views, PDF and ePub downloads, according to the available data) and Abstracts Views on Vision4Press platform.

Data correspond to usage on the plateform after 2015. The current usage metrics is available 48-96 hours after online publication and is updated daily on week days.

Initial download of the metrics may take a while.