Free Access

Fig. 2

image

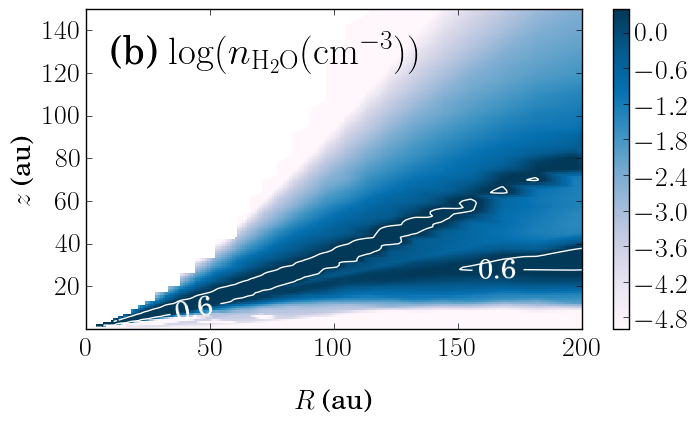
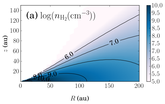
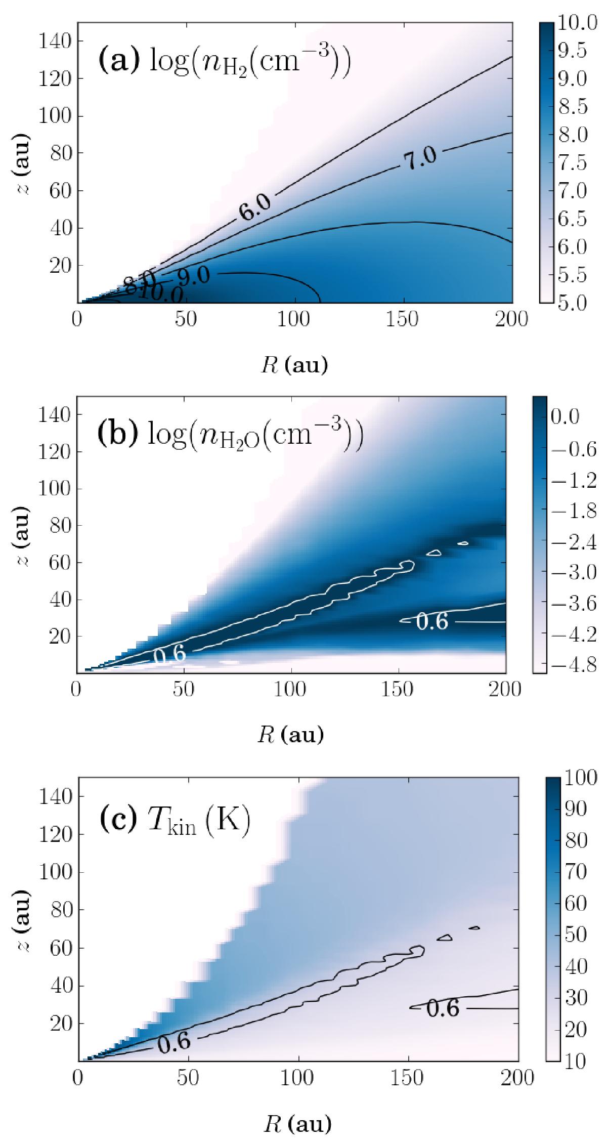
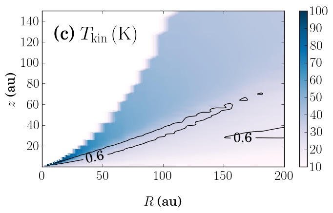
Overview of the adopted model structure. a) Logarithm of the molecular hydrogen density in cm-3 with black contours. b) Logarithm of the water vapor density with white contours at 0.6 cm-3. c) Gas temperature in K. Black contours represent the logarithm of the water abundance at 0.6 cm-3.

This figure is made of several images, please see below:

Current usage metrics show cumulative count of Article Views (full-text article views including HTML views, PDF and ePub downloads, according to the available data) and Abstracts Views on Vision4Press platform.

Data correspond to usage on the plateform after 2015. The current usage metrics is available 48-96 hours after online publication and is updated daily on week days.

Initial download of the metrics may take a while.