Highlight
Free Access

Fig. C.3

image

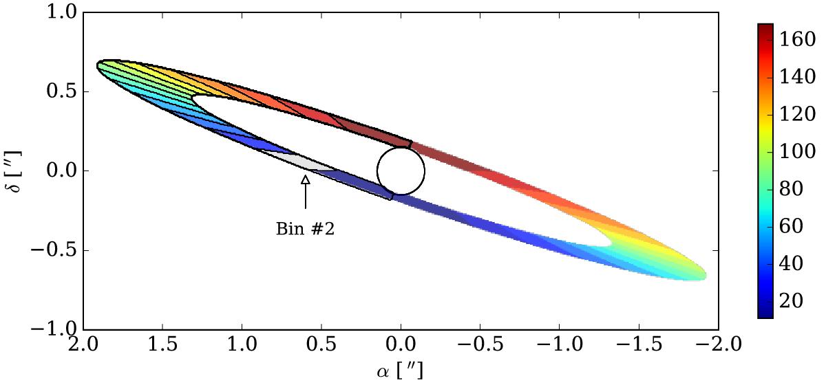
Elliptical mask binned over different scattering angles to depict how the phase function is calculated. The second bin of the phase function would be the mean flux in the region highlighted in white. The color coding shows the scattering angle for a given position in the elliptical mask. The central circle shows the numerical mask to hide the central region.

Current usage metrics show cumulative count of Article Views (full-text article views including HTML views, PDF and ePub downloads, according to the available data) and Abstracts Views on Vision4Press platform.

Data correspond to usage on the plateform after 2015. The current usage metrics is available 48-96 hours after online publication and is updated daily on week days.

Initial download of the metrics may take a while.