Free Access

Fig. 15

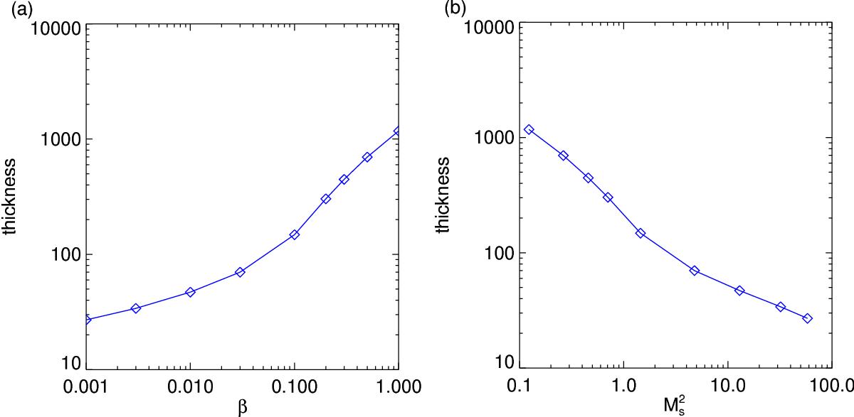
image

Thickness (in units of VA/νT) of the shock for the simulations with ξi = 0.01 as a function of β (left) and , the hydrodynamic Mach number of the neutral fluid in the inflow region (right). The dependence of the thickness of the shock as a function of the plasma β can be explained by the Mach number of the inflow region to which this relates to the compression at the shock front.

This figure is made of several images, please see below:

Current usage metrics show cumulative count of Article Views (full-text article views including HTML views, PDF and ePub downloads, according to the available data) and Abstracts Views on Vision4Press platform.

Data correspond to usage on the plateform after 2015. The current usage metrics is available 48-96 hours after online publication and is updated daily on week days.

Initial download of the metrics may take a while.