Free Access

Fig. 3

image

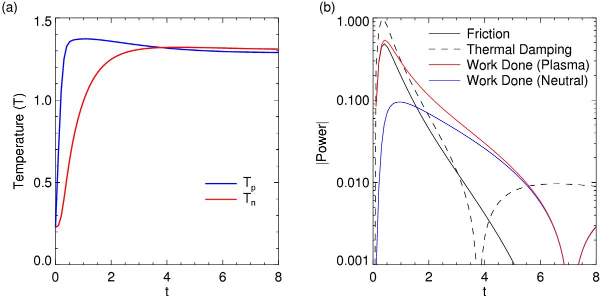
Panel a): temporal evolution of the temperature; panel b): magnitude of the heating terms relating to collisional coupling at x = 0 for a timescale that follows the transition from the initiation to the weak coupling regimes (see Sect. 4.2). The normalisation of the power is . Because the temperatures cross at t ~ 3.5τ the thermal damping term become 0 at this point then reverse sign (i.e. the ionised fluid is losing heat to the neutral fluid before this time, but gaining heat from the neutral fluid after this point).

This figure is made of several images, please see below:

Current usage metrics show cumulative count of Article Views (full-text article views including HTML views, PDF and ePub downloads, according to the available data) and Abstracts Views on Vision4Press platform.

Data correspond to usage on the plateform after 2015. The current usage metrics is available 48-96 hours after online publication and is updated daily on week days.

Initial download of the metrics may take a while.