Free Access

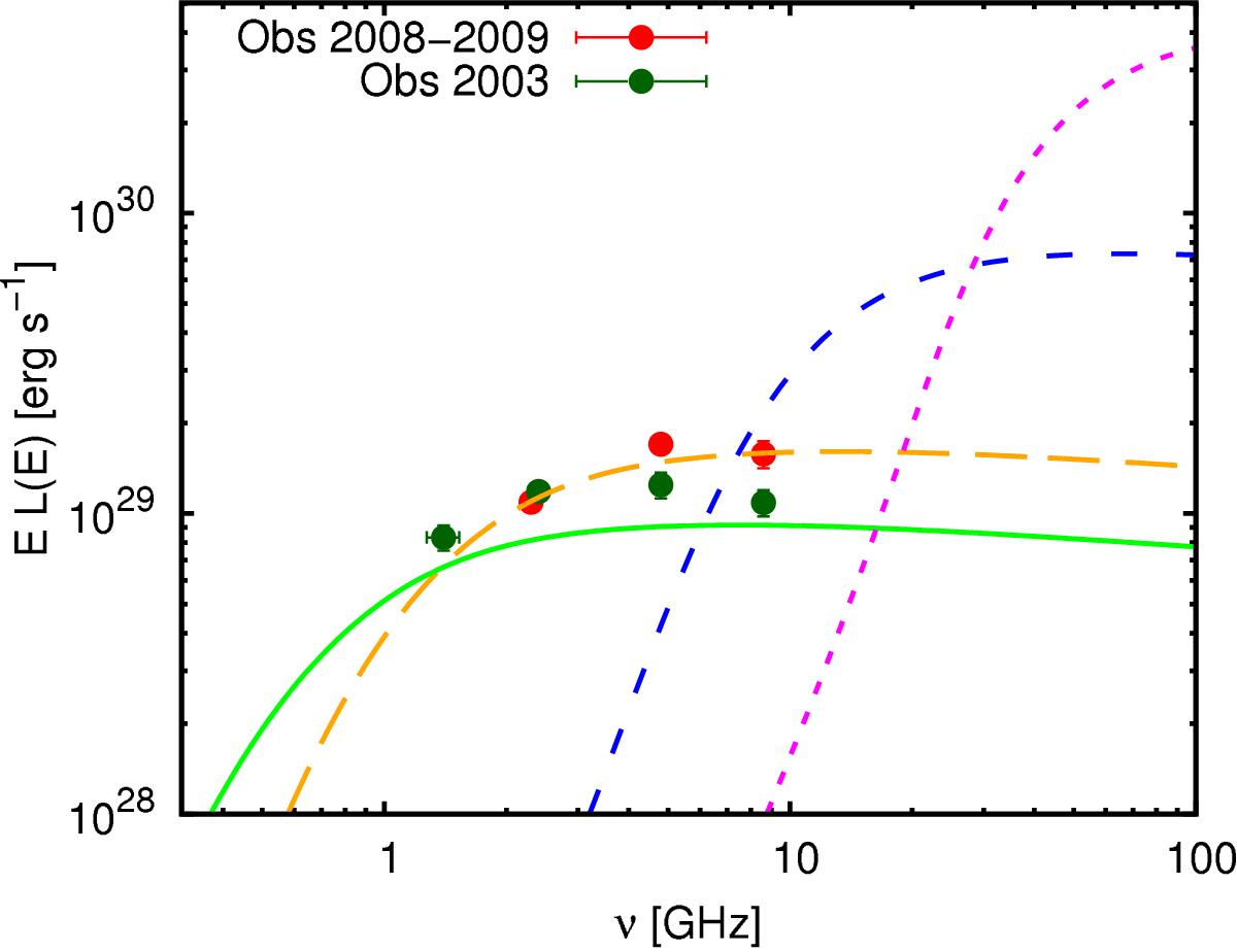
Fig. 5

image

Modeled emission for a distance between the componentes of 1.5 D (green solid line), D (orange long-dashed line), D/ 3 (blue intermediate-dashed), and D/ 10 (magenta short-dashed). The goodness of the fit is given by χ2 ~ 17 (3 d.o.f.) for the 2003–2004 observations, and χ2 ~ 1.9 (4 d.o.f.) for the 2008–2009 observations.

Current usage metrics show cumulative count of Article Views (full-text article views including HTML views, PDF and ePub downloads, according to the available data) and Abstracts Views on Vision4Press platform.

Data correspond to usage on the plateform after 2015. The current usage metrics is available 48-96 hours after online publication and is updated daily on week days.

Initial download of the metrics may take a while.