Free Access

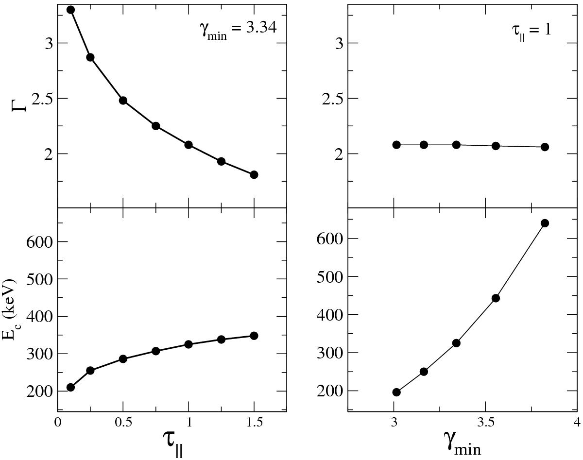
Fig. 2

image

Photon index and cutoff energy as functions of τ and γmin. In the left-hand panels, each point represents a calculation with the same γmin = 3.34 (v = 0.52c) and different τ. In the right-hand panels, each point represents a calculation with the same τ = 1 and different γmin. The scale of the Y-axis was left the same to faciliate the comparison.

Current usage metrics show cumulative count of Article Views (full-text article views including HTML views, PDF and ePub downloads, according to the available data) and Abstracts Views on Vision4Press platform.

Data correspond to usage on the plateform after 2015. The current usage metrics is available 48-96 hours after online publication and is updated daily on week days.

Initial download of the metrics may take a while.